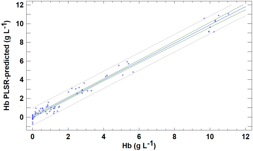
Figure 5
From: Measuring haemolysis in cattle serum by direct UV–VIS and RGB digital image-based methods

Predictions of haemoglobin (Hb) concentration levels using the RGB- PLSR method for the validation samples compared with those provided by the CNMHb method.