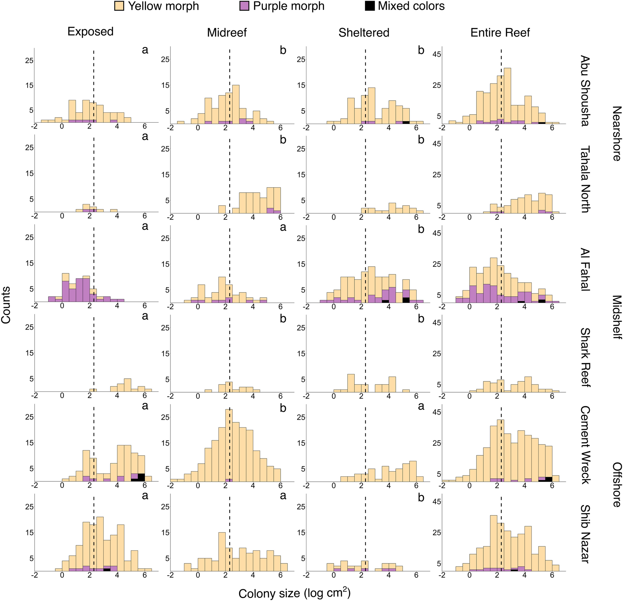
Figure 4
From: Size structure of the coral Stylophora pistillata across reef flat zones in the central Red Sea

Size class structure of Stylophora pistillata colonies for each reef flat zone and each reef. The dashed vertical line represents the juvenile-adult cutoff of 10 cm241. Bars are color-coded to show the proportion of colonies of different color morphs for each size class. Different letters between reef flat zones within each reef indicate significant differences in size-frequency distributions (two-sided Kolmogorov–Smirnov test). Distributions were not tested across different reefs.