Figure 2
From: Efficacy and safety of intense pulsed light direct eyelid application

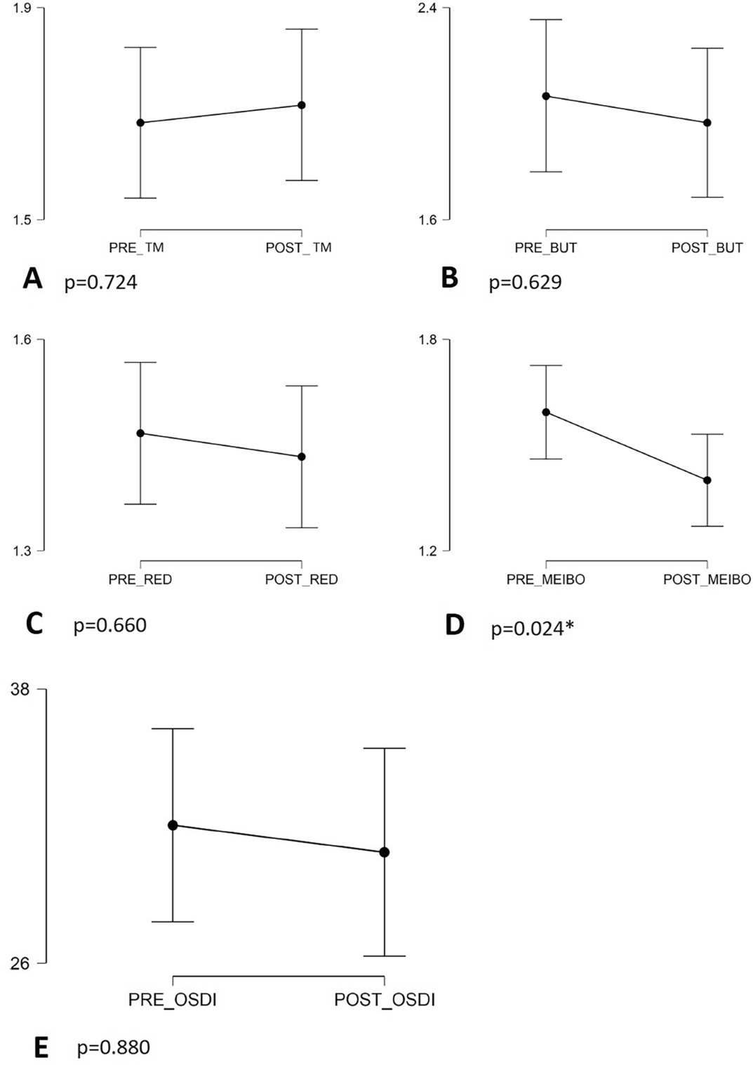
Time outcomes before and after treatment. (preTM, pre tear meniscus; postTM, post tear meniscus; preBUT, pre break-up time; postBUT, post break-up time; preRED, pre redness; postRED, post redness; preMEIBO, premeibography; postMEIBO, postmeibography).