Figure 3

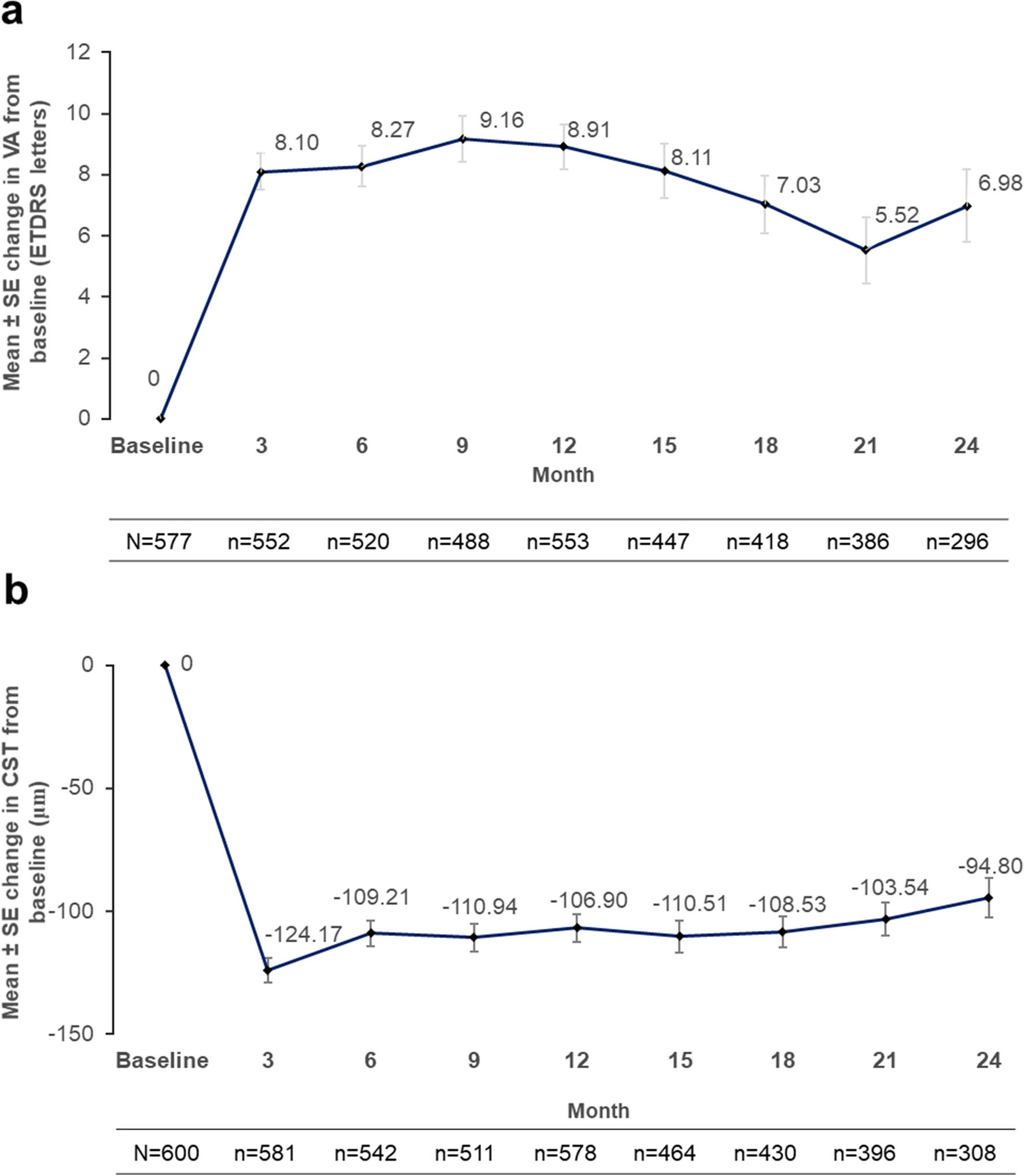
Mean change in (a) visual acuity and (b) *central subfield thickness from baseline to 24 months (cohort 1). *95% CI values for change in CST at each time point excludes 0, hence making the decrease in CST significant.

Mean change in (a) visual acuity and (b) *central subfield thickness from baseline to 24 months (cohort 1). *95% CI values for change in CST at each time point excludes 0, hence making the decrease in CST significant.