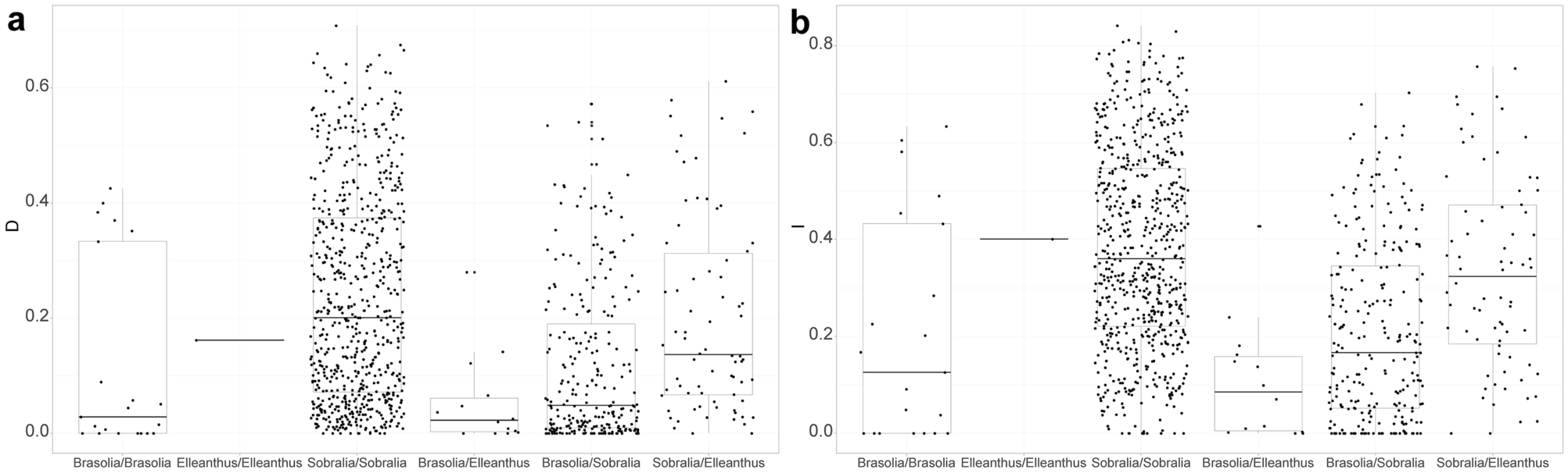
Figure 2

Niche overlap illustrated by (a) Schoener’s D45 and (b) I statistic46. Boxplots show the pairwise niche overlap between species belonging to the following groups: within each genus (Brasolia, Elleanthus, Sobralia) and between genera (Brasolia and Elleanthus, Brasolia and Sobralia, Sobralia and Elleanthus). The niche overlap value for each pair of species within a given group is represented by a dot.