Figure 6
From: Personality similarity predicts synchronous neural responses in fMRI and EEG data

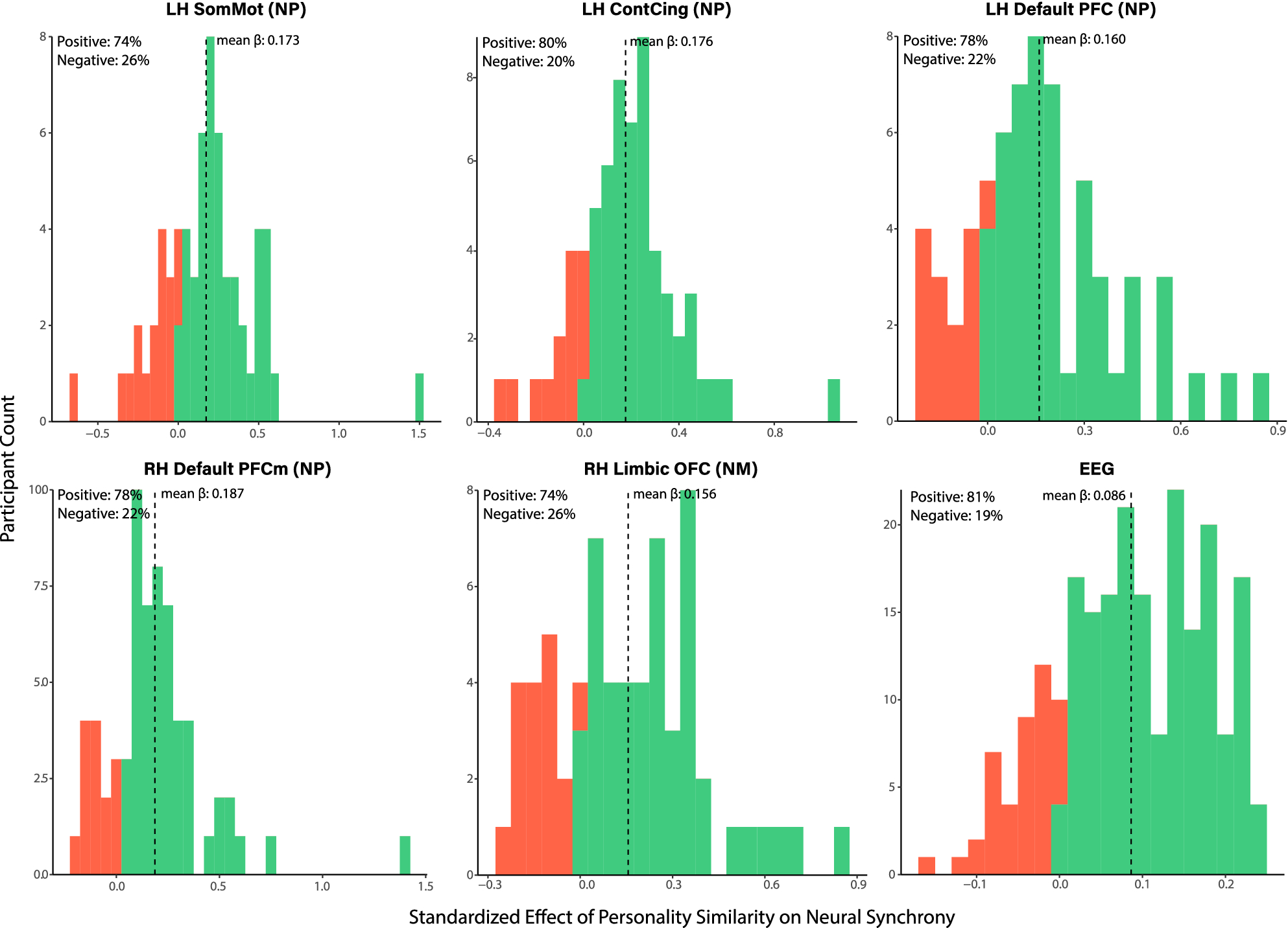
Distribution of effects across the sample. Distribution of standardized regression coefficients capturing the relationship between personality similarity and neural synchrony for each subject in the fMRI and EEG samples. Positive coefficients (green) indicate a positive link between personality and neural synchrony for that individual while negative coefficients (red) indicate a negative link. LH left hemisphere, RH right hemisphere, NM neural magnitude synchrony, NP neural pattern synchrony, SomMot somatomotor cortex, ContCing cingulate cortex parcel within the frontoparietal control network, Default PFC prefrontal cortex parcel within the default mode network, Default PFCm medial prefrontal cortex parcel within the default mode network, Limbic OFC orbitofrontal cortex parcel within the limbic network.