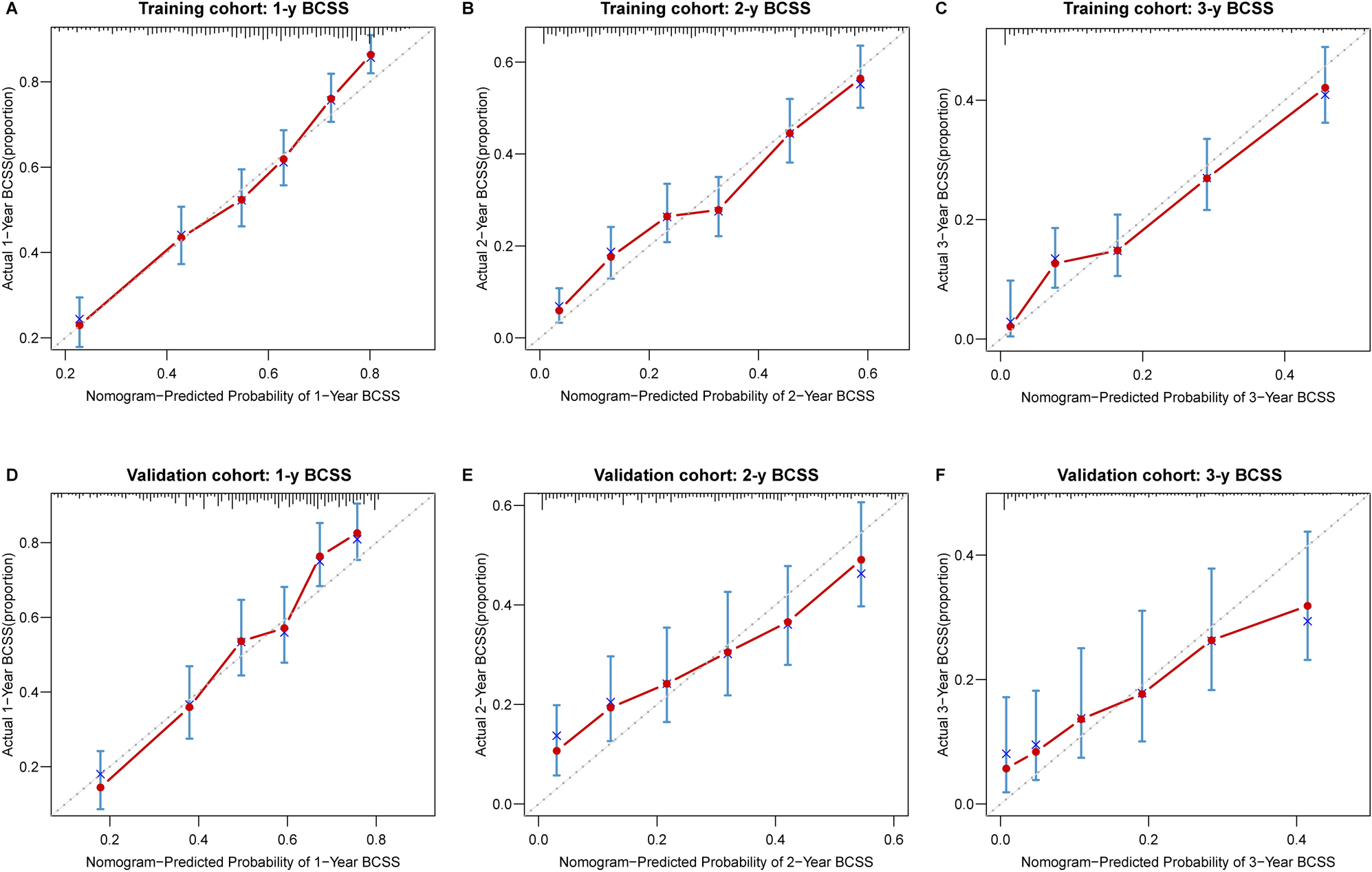
Figure 5

Calibration curves of 1-, 2-, and 3-year BCSS in training and validation cohorts. (A–C) Calibration curves of 1-, 2-, and 3-year BCSS in training cohort, respectively. (D–F) Calibration curves of 1-, 2-, and 3-year BCSS in validation cohort, respectively.