Figure 6

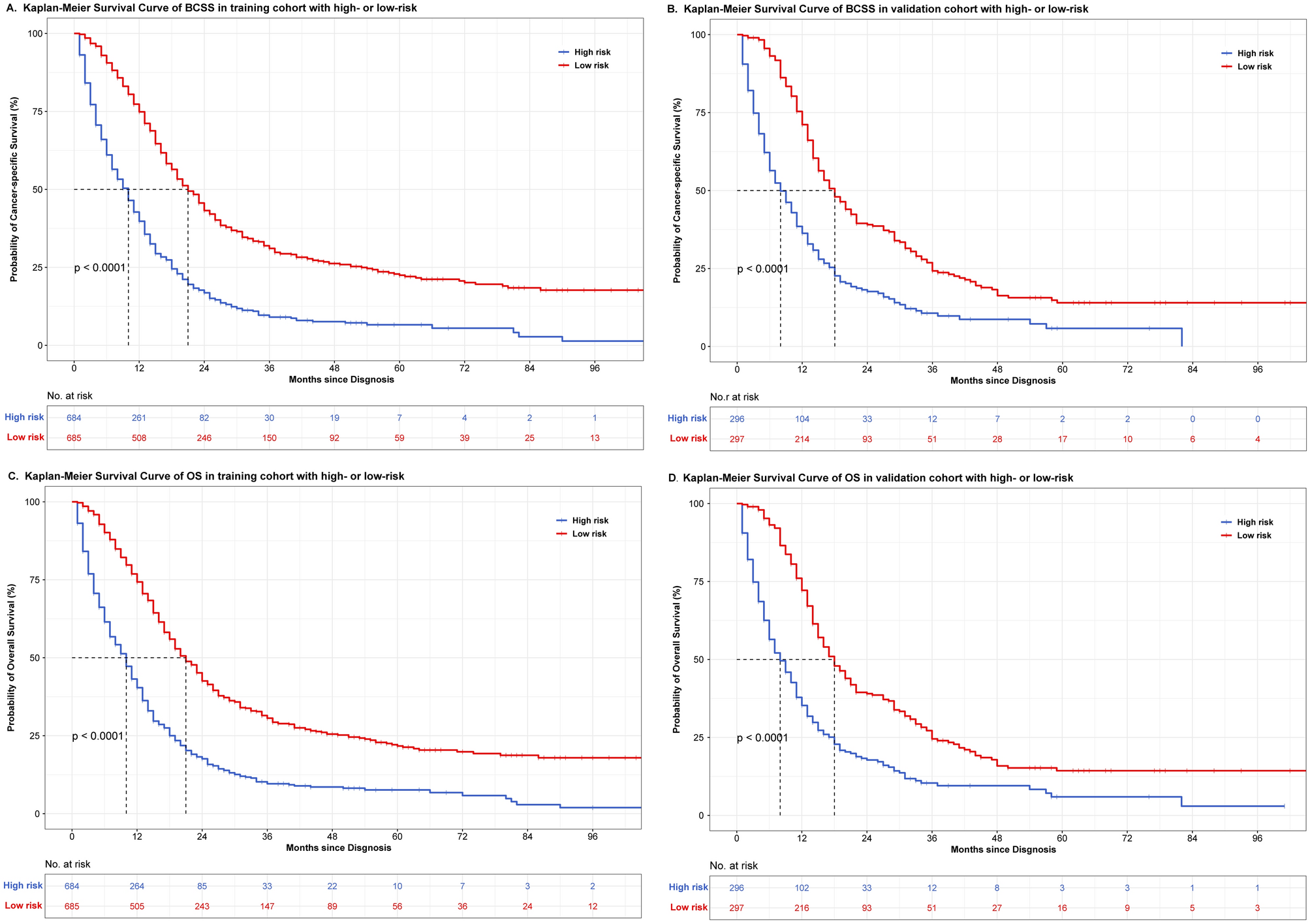
Survival curves of BCSS and OS stratified by nomogram estimated risk. (A, B) BCSS in training and validation cohort, respectively. (C, D) OS in training and validation cohort, respectively.

Survival curves of BCSS and OS stratified by nomogram estimated risk. (A, B) BCSS in training and validation cohort, respectively. (C, D) OS in training and validation cohort, respectively.