Figure 12
From: Behavior of volcanic ash–soil mixtures under one-dimensional compression testing

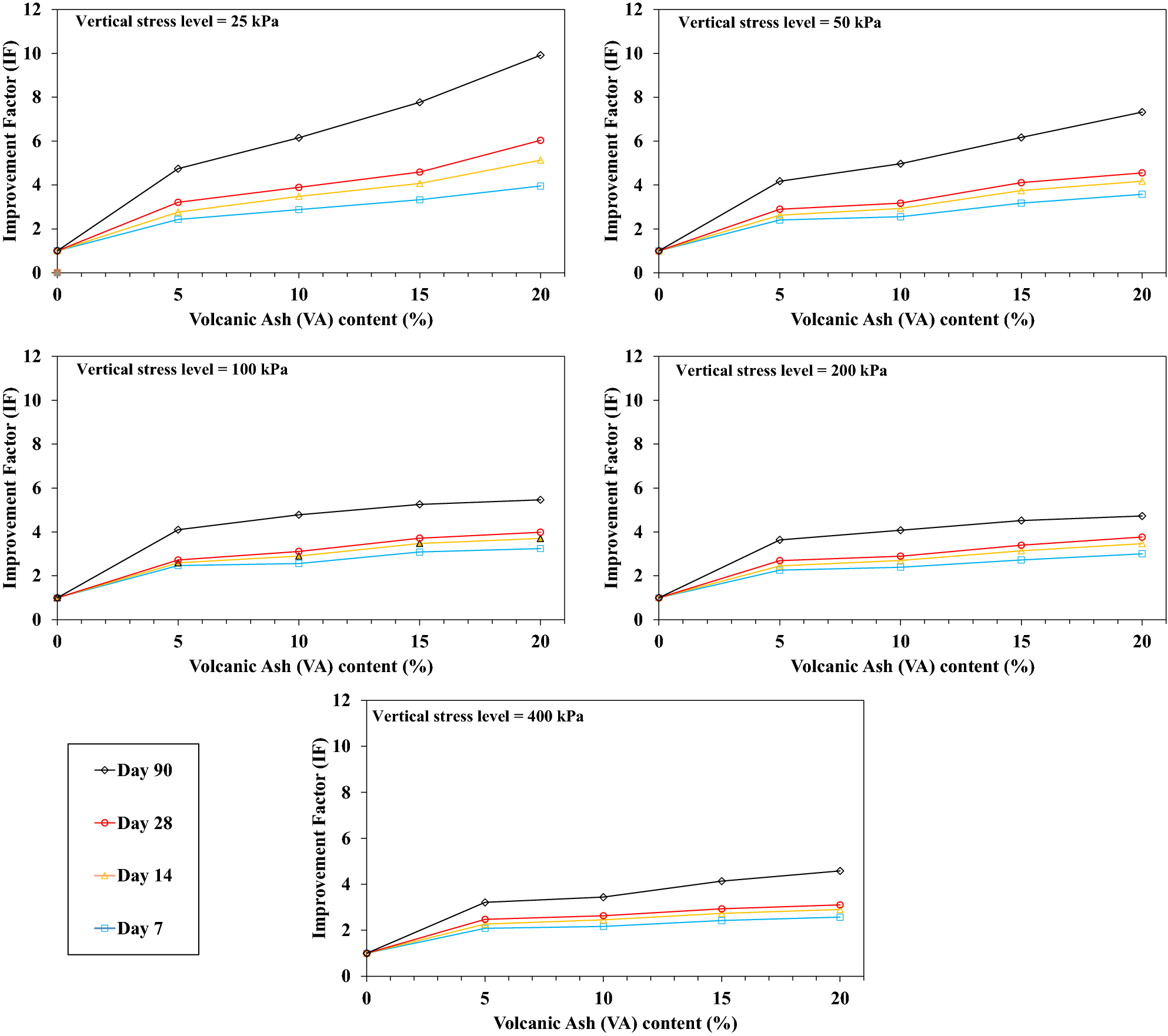
Influence of the volcanic ash (VA) content on the improvement factor (IF) for saturated conditions.
From: Behavior of volcanic ash–soil mixtures under one-dimensional compression testing

Influence of the volcanic ash (VA) content on the improvement factor (IF) for saturated conditions.