Figure 14
From: Behavior of volcanic ash–soil mixtures under one-dimensional compression testing

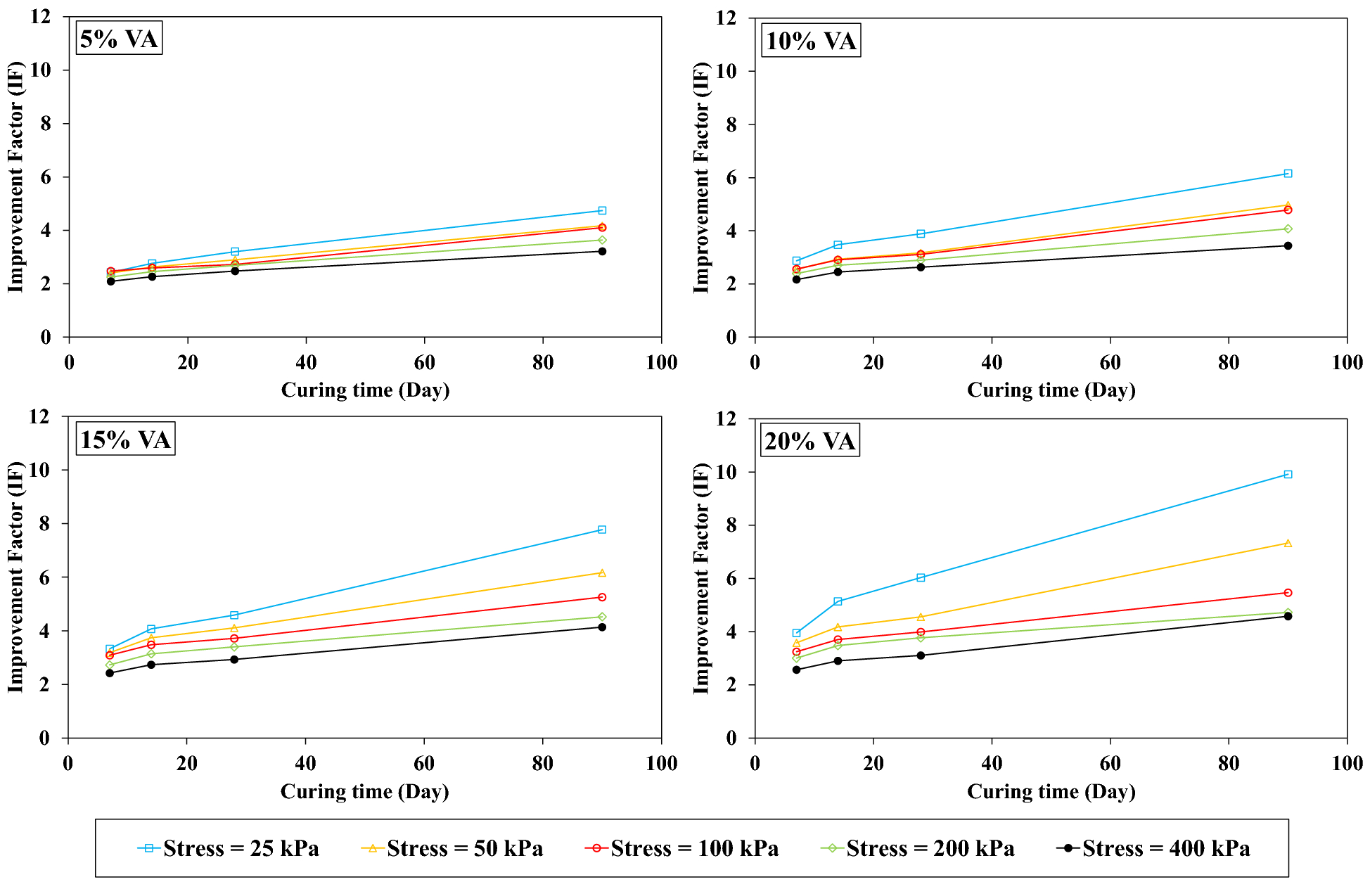
Influence of the curing time on the improvement factor (IF) for the saturated conditions.
From: Behavior of volcanic ash–soil mixtures under one-dimensional compression testing

Influence of the curing time on the improvement factor (IF) for the saturated conditions.