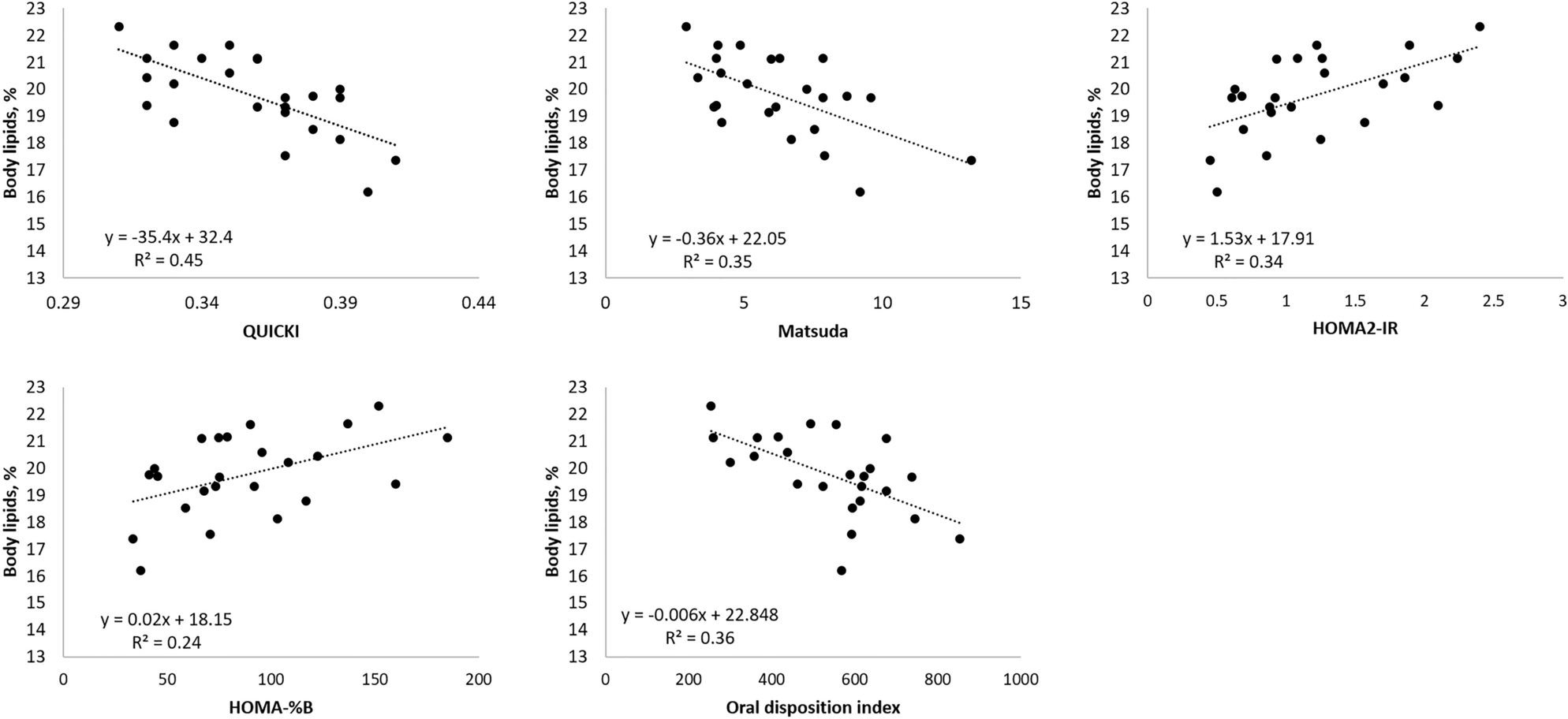
Figure 2

Linear regression among insulin sensitivity indexes and total body lipids (trial 1; n = 24). Only significant regressions with body lipids are presented in the figure (P < 0.05). QUICKI quantitative insulin sensitivity check, oDIcpep oral disposition index, HOMA-IR homeostasis model assessment for estimating insulin resistance, HOMA-%B homeostasis model assessment for estimating β-cell function.