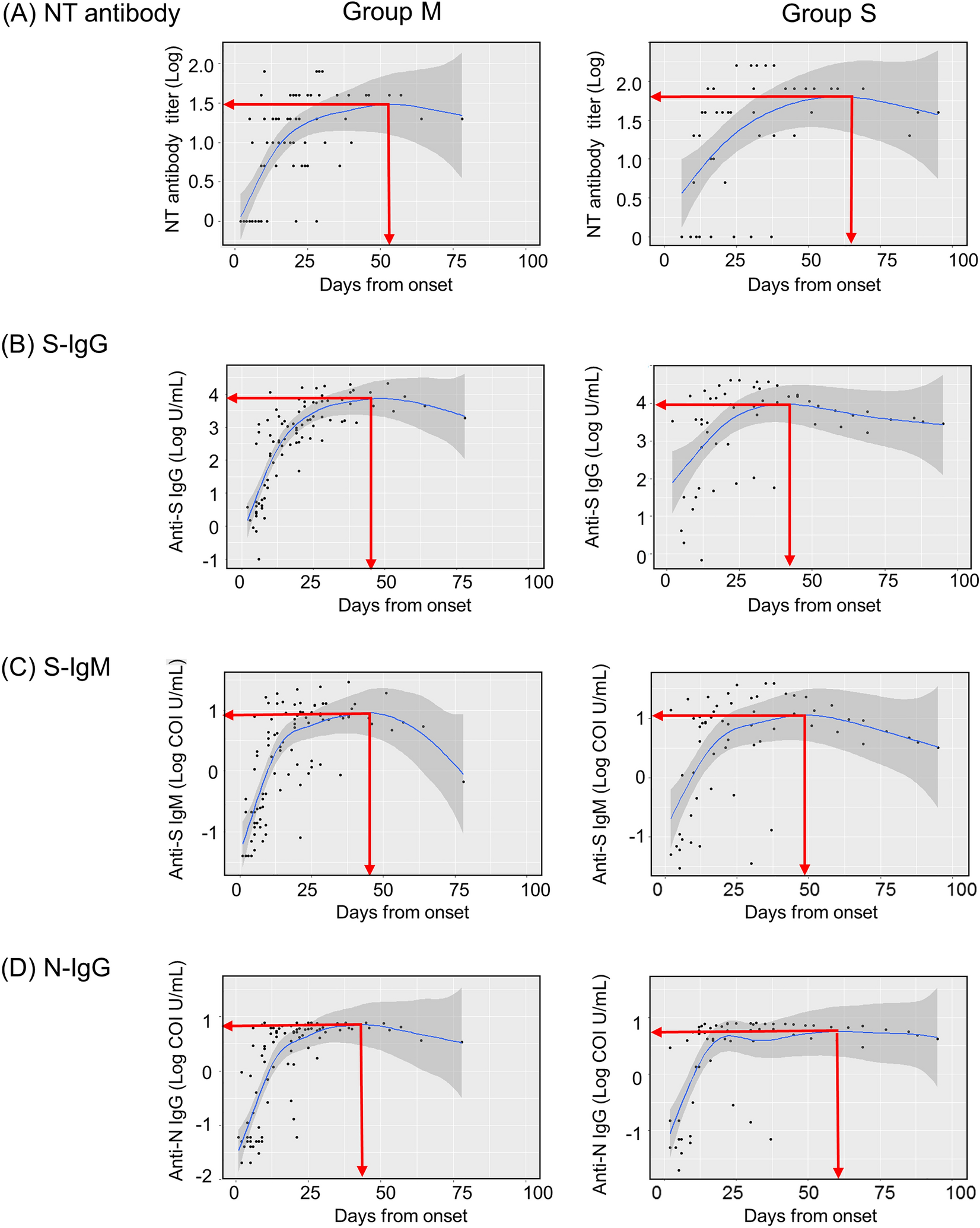
Figure 2

Longitudinal change of antibodies against SARS-CoV-2. Scatterplot and regression lines indicate antibody response for longitudinal analysis: Group M (n = 95 from 52 patients) and Group S (n = 73 from 16 patients). (A) NT antibody, (B) S-IgG, (C) S-IgM, and (D) N-IgG. The 95% CIs are calculated by prediction ± 1.96 × standard error of prediction. The red lines indicate the points in which the fitted curves are at their maximum. These points are as follows: (A) NT antibody; Group M, day 53, log titer 1.48; Group S, day 69, 1.79, (B) S-IgG; Group M, day 46, 3.87; Group S, day 45, 3.96, (C) S-IgM; Group M, day 45, 0.96; Group S, day 49, 1.06, (D) N-IgG, Group M, day 46, 0.90, Group S, day 60, 0.75.