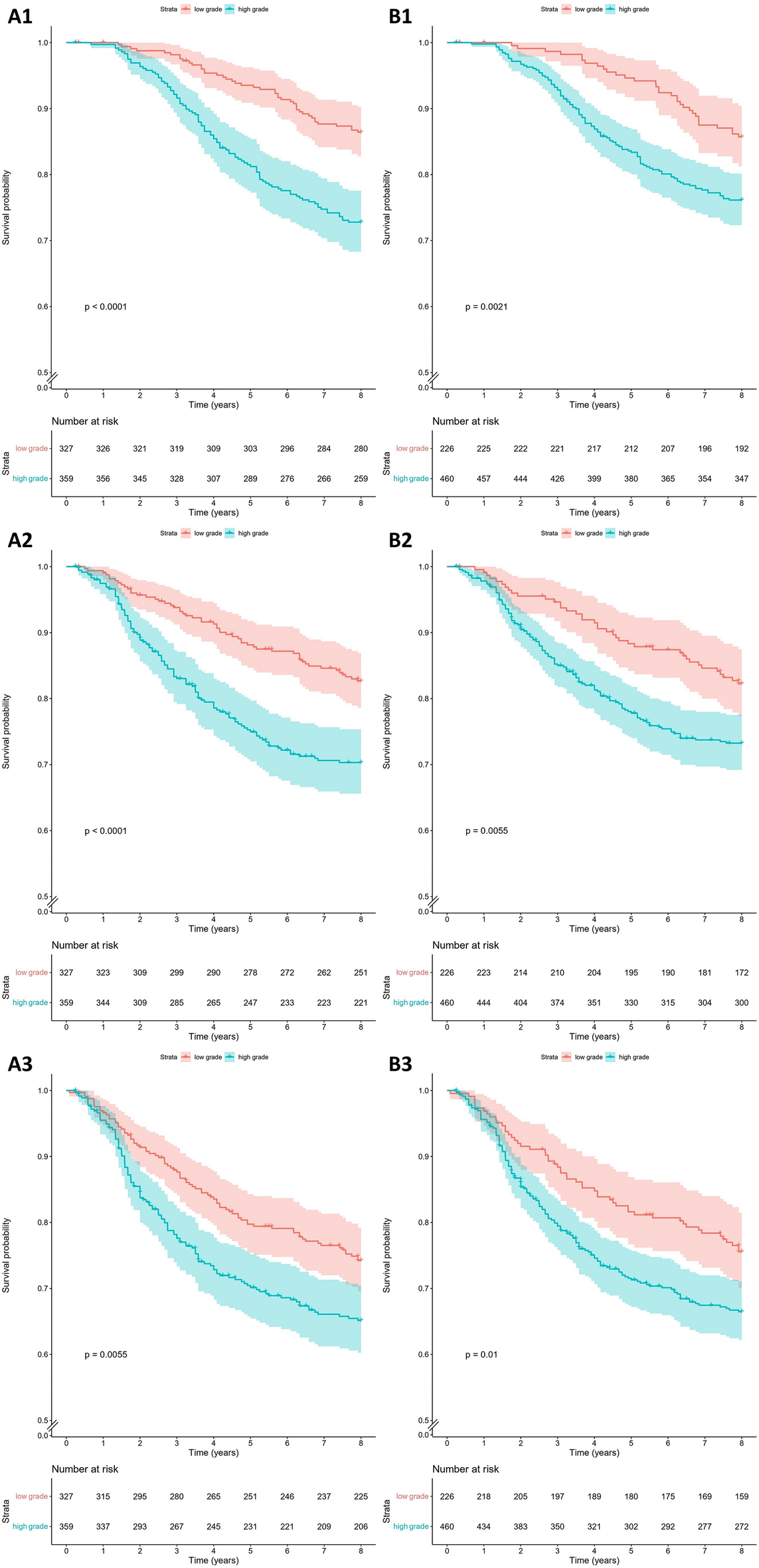
Figure 3
From: Deep learning-based breast cancer grading and survival analysis on whole-slide histopathology images

Kaplan–Meier survival curves for young breast cancer patients grouped by low/intermediate versus high grade tumors as assigned by pathologists (A) and the deep learning model (B) for overall survival (1), distant recurrence free survival (2) and recurrence free survival (3). These results are on the test set (n = 686).