Figure 17
From: Selection of seismic isolation system parameters for the near-optimal design of structures

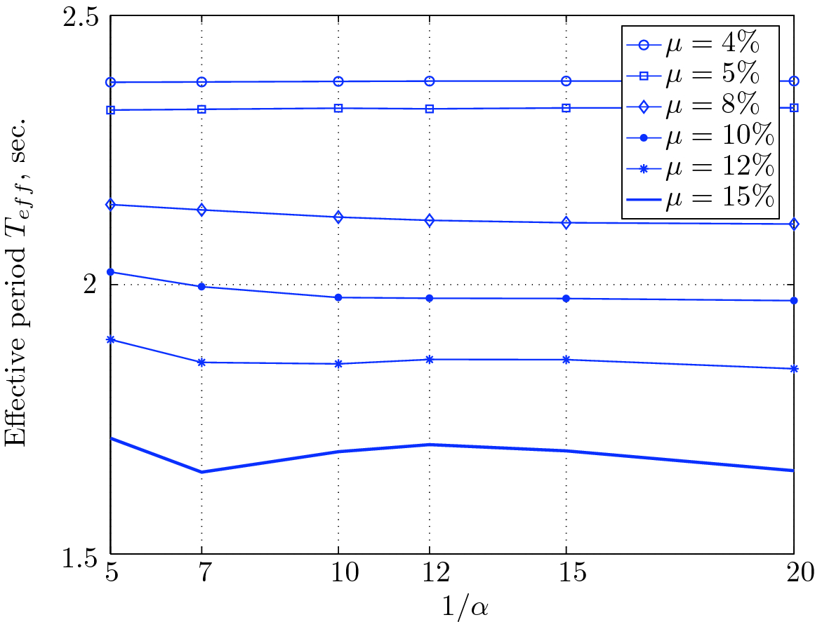
Effective period for various isolation system parameters (El Centro 1979).
From: Selection of seismic isolation system parameters for the near-optimal design of structures

Effective period for various isolation system parameters (El Centro 1979).