Figure 24
From: Selection of seismic isolation system parameters for the near-optimal design of structures

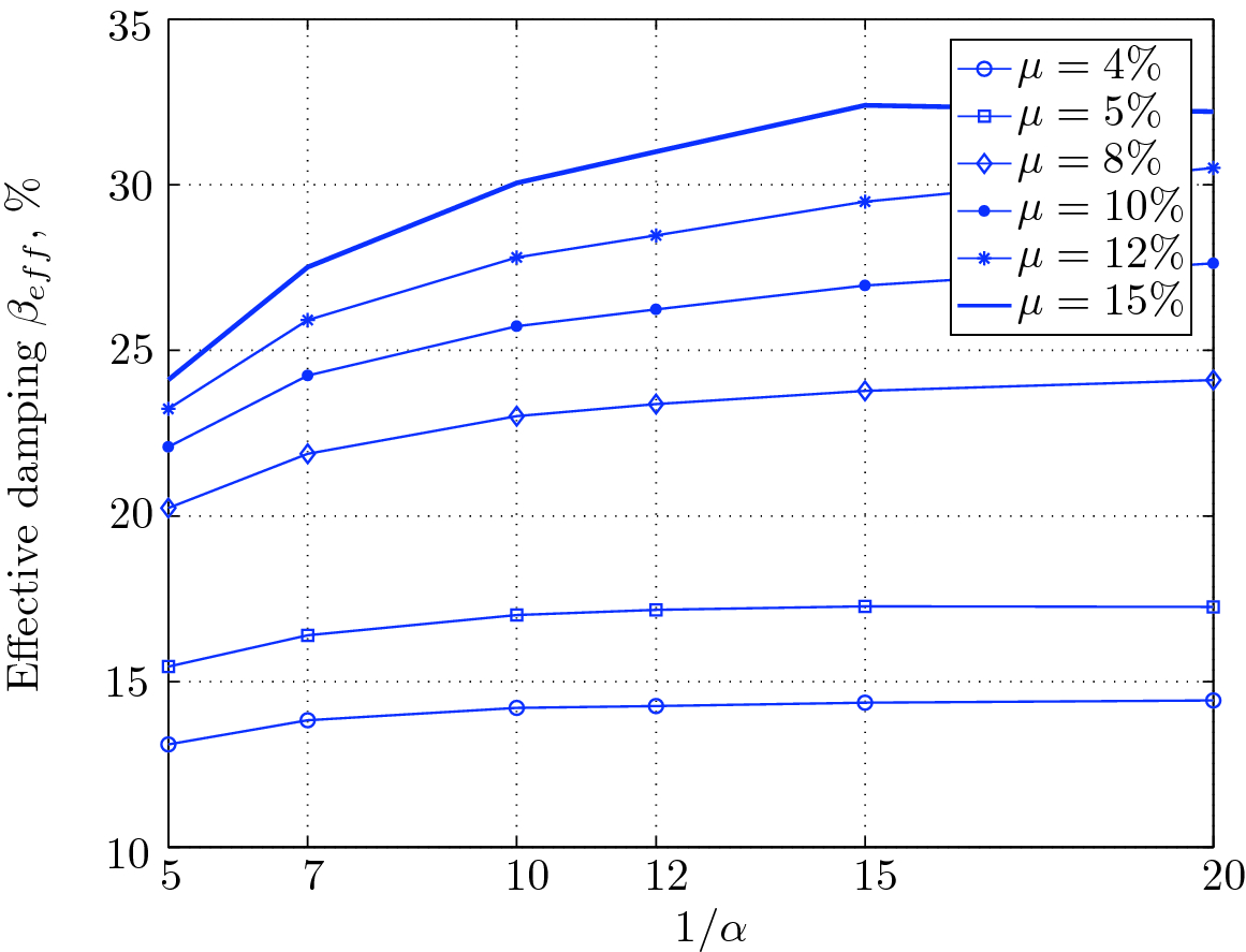
Effective damping for various isolation system parameters (Lexington dam).
From: Selection of seismic isolation system parameters for the near-optimal design of structures

Effective damping for various isolation system parameters (Lexington dam).