Figure 25
From: Selection of seismic isolation system parameters for the near-optimal design of structures

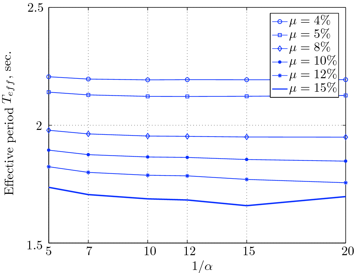
Effective period for various isolation system parameters (Lexington dam).
From: Selection of seismic isolation system parameters for the near-optimal design of structures

Effective period for various isolation system parameters (Lexington dam).