Figure 43
From: Selection of seismic isolation system parameters for the near-optimal design of structures

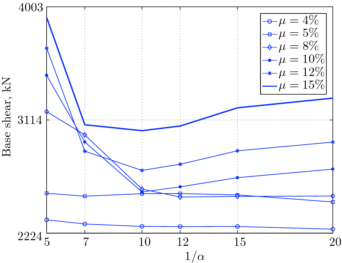
Maximum base shear for various isolation system parameters (Yermo).
From: Selection of seismic isolation system parameters for the near-optimal design of structures

Maximum base shear for various isolation system parameters (Yermo).