Figure 1

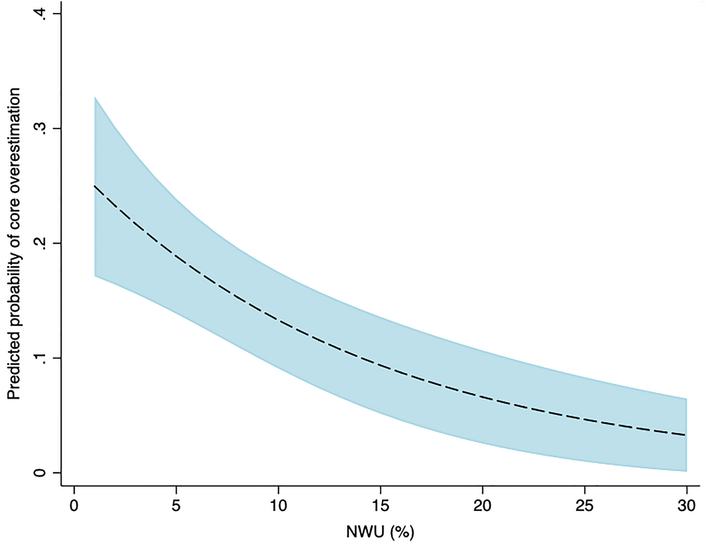
Predicted probability of core overestimation by NWU at admission. Lower levels of NWU were significantly and positively associated with core overestimation. NWU net water uptake.

Predicted probability of core overestimation by NWU at admission. Lower levels of NWU were significantly and positively associated with core overestimation. NWU net water uptake.