Figure 2
From: Impact of overestimation of fractional flow reserve by adenosine on anatomical–functional mismatch

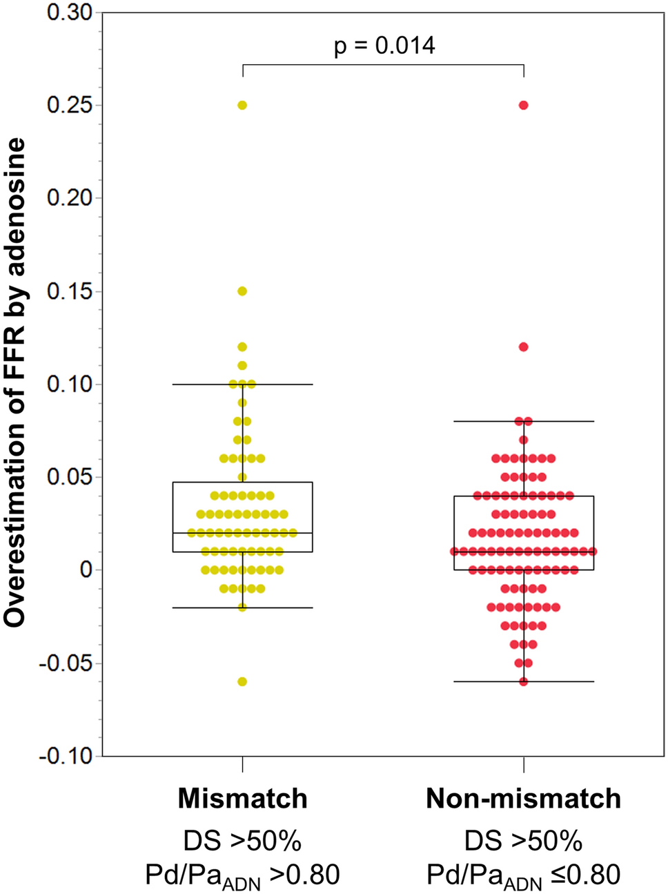
Comparison of overestimation of FFR by adenosine in anatomically significant vessels between the anatomical‒functional mismatch and non-mismatch groups. Distributions of overestimation of FFR by adenosine with box-and-whisker plots are shown. The overestimation of FFR by adenosine was defined as Pd/PaADN–Pd/PaPAP. DS diameter stenosis, Pd/PaADN distal-to-aortic pressure ratio associated with adenosine, and Pd/PaADN distal-to-aortic pressure ratio associated with papaverine.