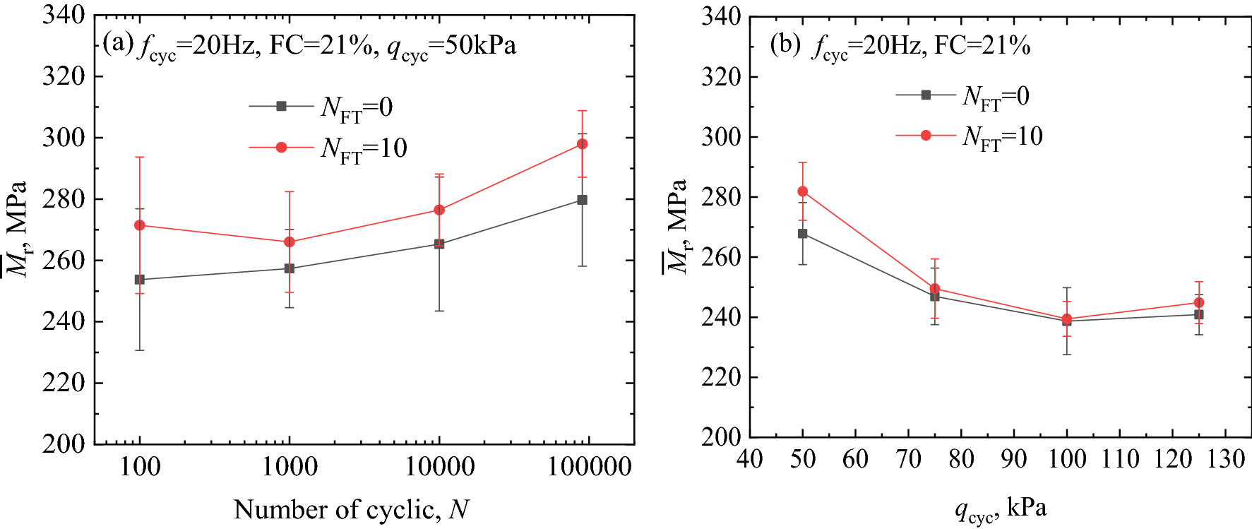
Figure 6

Relationship between \({\overline{M}}_{\text{r}}\) and N, qcyc: focusing on NFT: (a) focusing on the effect of N and (b) focusing on qcyc.

Relationship between \({\overline{M}}_{\text{r}}\) and N, qcyc: focusing on NFT: (a) focusing on the effect of N and (b) focusing on qcyc.