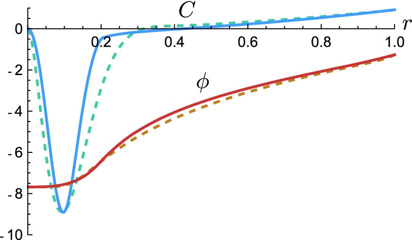
Figure 5

Comparison between a numerical solution describing a semiclassical ultracompact object (continuous lines, compactness C(r) in blue and redshift \(\phi (r)\) in red) and a particular solution of the parametrized family of geometries (11) (dashed lines). The numerical solution is the separatrix from Fig. 2D. The parameters of the analytical fit are \(\beta _{0}=10^{-4},~\beta _{1}=2.14\times 10^{-7},~\beta _{2}=0.905,~\beta _{3}=42.8\) and \(\beta _{4}=16.8\).