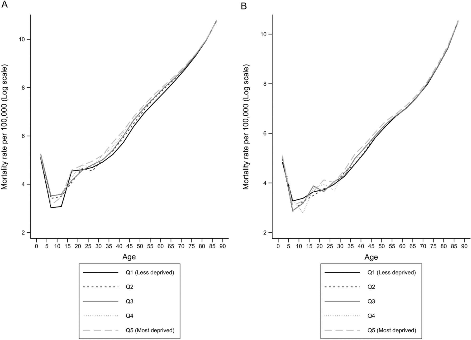
Figure 1

Observed mortality rates per 100,000 people by deprivation quintile, age group and sex (A: men, B: women) in Spain, 2011–2013.

Observed mortality rates per 100,000 people by deprivation quintile, age group and sex (A: men, B: women) in Spain, 2011–2013.