Figure 4
From: Bending analysis of sandwich panel composite with a re-entrant lattice core using zig-zag theory

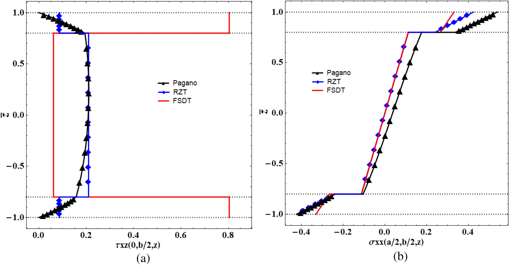
The variation of (a) shear stress, and (b) normal stress, along the thickness of the sandwich panel calculated using different theories.
From: Bending analysis of sandwich panel composite with a re-entrant lattice core using zig-zag theory

The variation of (a) shear stress, and (b) normal stress, along the thickness of the sandwich panel calculated using different theories.