Figure 8
From: MISPR: an open-source package for high-throughput multiscale molecular simulations

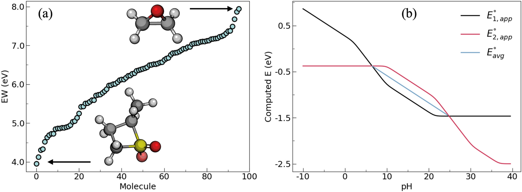
Sample calculations of (a) electrochemical stability window of additives and cosolvents relevant to Li-ion battery and (b) equilibrium potential diagram resulting from a two-step PCET reaction of a quinone molecule using the redox potential workflow.