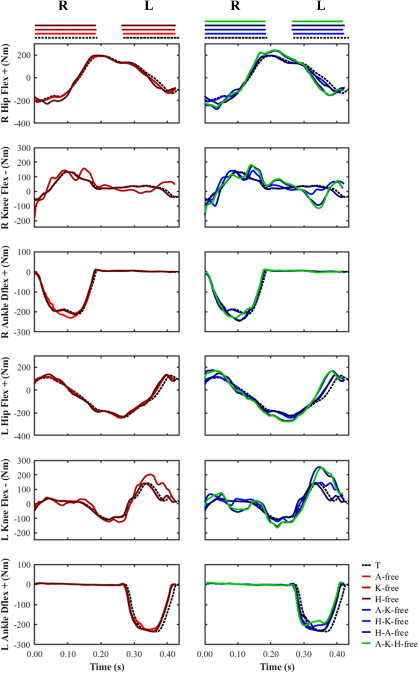
Figure 10

Right and left net ankle dorsiflexor-plantarflexor moments, and knee and hip flexor–extensor moments from right foot touchdown to left foot take-off for the data-tracking (T) and predictive simulations (A-free, K-free, H-free, A-K-free, H-K-free, H-A-free, A-K-H-free). The horizontal bars at the top of the figure indicate the periods of right (R) and left (L) stance. The outputs from the simulations were not plotted on the same set of axes to avoid interpretability and visualisation issues.