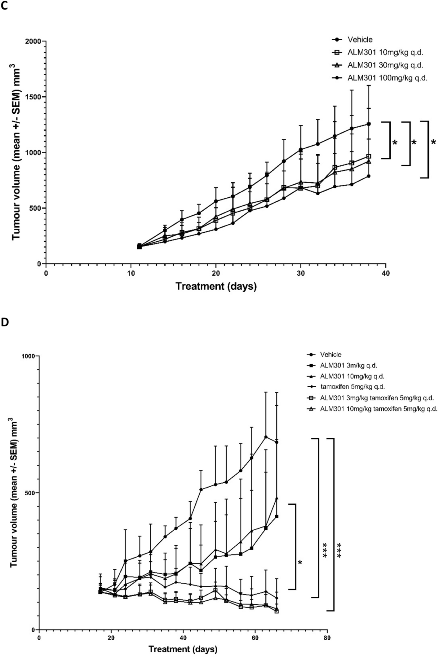
Figure 4


PK/PD and efficacy studies using development candidate ALM301 in A549 and MCF-7 xenograft models. (A) PK/PD relationship for ALM301 in A549 lung cancer xenograft model analysing levels of pAKTS473 in tumours using western blotting over 24 h after a single oral dose of either ALM301 (10, 30 or 100 mg/kg) or MK-2206 (100 mg/kg). (B) Representative immunohistochemistry sections of phospho AKT stained tumour samples (brown) treated with a single dose of either vehicle only or 30 mg/kg of ALM301 over 24 h period (C) Growth inhibition curves in an A-549 tumour xenograft model treated with either vehicle (p.o., q.d. × 28, n = 10/group) or ALM301 (p.o. 10/30 mg/kg q.d. × 28 or p.o. 100 mg/kg q.d × 3 then q.o.d. × 25, n = 10/group). Paired t-test was used to derive p values (n = 10/group), *p < 0.05, **p < 0.01, ***p < 0.001. (D) Growth inhibition curves of MCF-7 tumours treated with either vehicle (p.o., q.d. × 49, n = 10/group), ALM301 (p.o. 3 or 10 mg/kg q.d. × 49 n = 10/group), tamoxifen (p.o. 5 mg/kg q.d. × 49, n = 10/group) or ALM301 (p.o. 3 or 10 mg/kg q.d. × 49 n = 10/group) in combination with tamoxifen (p.o. 5 mg/kg q.d. × 49). Paired t-test was used to derive p values (n = 10/group), *p < 0.05, **p < 0.01, ***p < 0.001. ADME: Absorption, distribution, metabolism, excretion; DMPK: drug metabolism and pharmacokinetics; PK/PD: pharmacokinetics and pharmacodynamics.