Figure 7
From: Thermal enhancement and numerical solution of blood nanofluid flow through stenotic artery

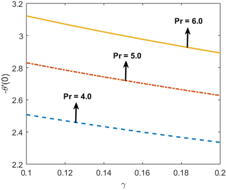
\(\gamma \) and \(Pr\) variations on heat transfer coefficient.
From: Thermal enhancement and numerical solution of blood nanofluid flow through stenotic artery

\(\gamma \) and \(Pr\) variations on heat transfer coefficient.