Figure 2
From: Compact all-optical precision-tunable narrowband hard Compton X-ray source

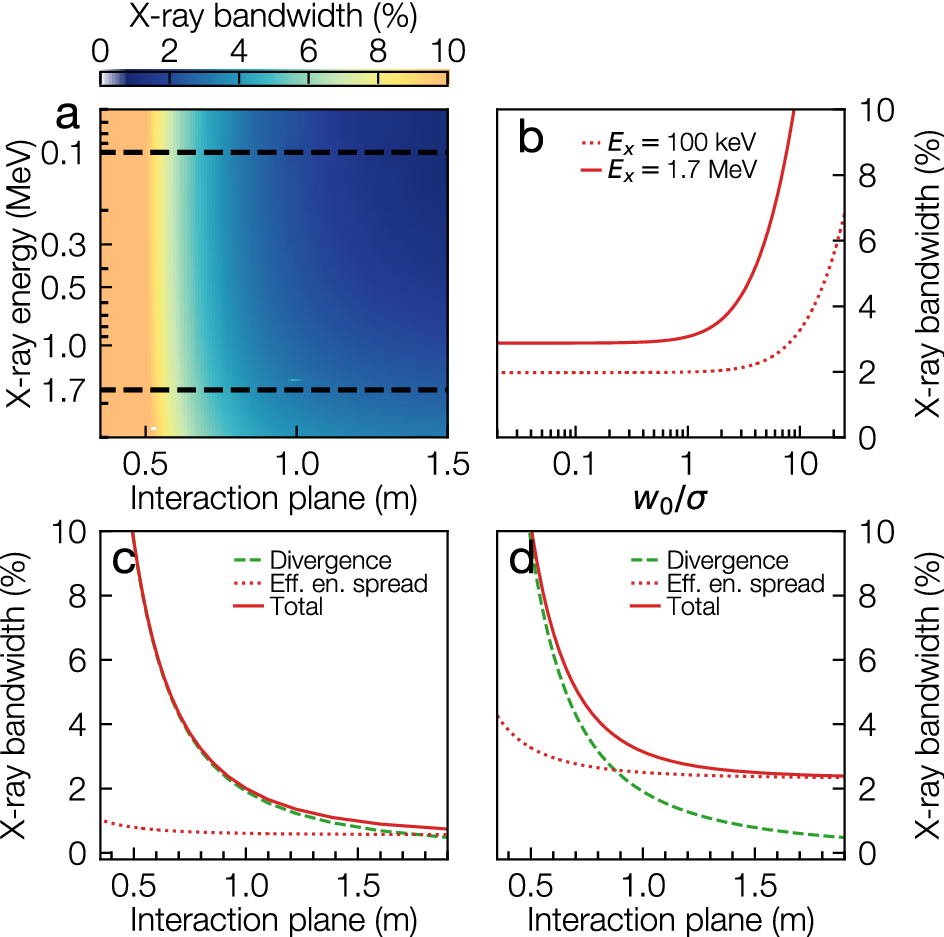
X-ray beam FWHM bandwidth arising from electron bunch properties. (a) On-axis X-ray bandwidth as a function of central energy and interaction plane for \(w_0={10}\,{\upmu \hbox {m}}\). (b) The variation of X-ray bandwidth with laser-electron bunch overlap. (c,d) Variation of X-ray bandwidth as a function of interaction plane \(z_f\) for X-ray energies of (c) \({100}\,{\hbox {ke}\,\hbox {V}}\) and (d) \({1.7}\,{\hbox {Me}\, \hbox {V}}\) with \(w_0={10}\,\upmu \hbox {m}\). The dashed lines in panel (a) highlight the positions of the lineouts shown in panels (c) and (d). The electron bunch divergence-driven bandwidth component decreases rapidly with focus distance with the effective energy spread staying almost constant. The X-ray bandwidth calculations assume a ps-duration laser pulse length matched to the interaction volume.