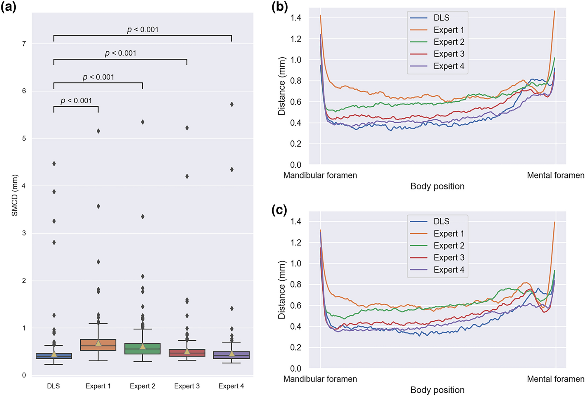
Figure 5

Measuring interobserver variability and DLS performance against a majority voted reference segmentation from expert assessments. (a) Tukey’s boxplot comparison of the performances of DLS and the experts against the reference segmentation. (b) SMCD in millimetres with respect to the approximate position of the left canals (c) SMCD with respect to the approximate position of the right canals.