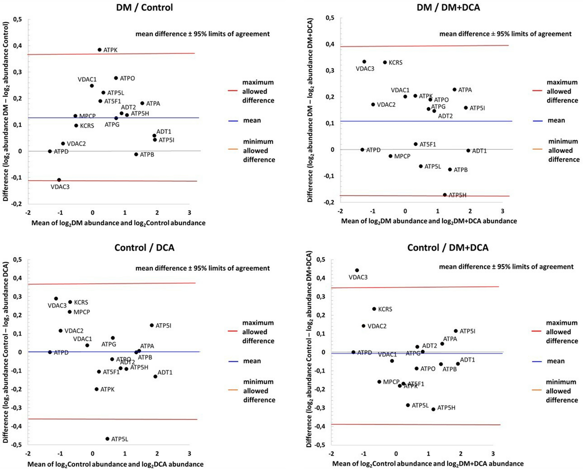
Figure 5

Scatter diagrams of the difference between the abundances of identified proteins involved in the structure and regulation of mPTPs in the two different experimental conditions plotted against the average of the two measurements, both on a log scale. We compared the differences between Groups DM versus Control (graph top left), DM versus DM + DCA (graph top right), Control versus DCA (graph bottom left) and Control versus DM + DCA (graph bottom right). Horizontal lines are drawn at the mean difference and at the limits of agreement (DM vs. Control: 95% LoA − 0.1099 to 0.3634; DM vs. DM + DCA: 95% LoA − 0.1795 to 0.3919; Control vs. DCA: 95% LoA − 0.3607 to 0.3662; Control vs. DM + DCA: 95% LoA − 0.3872 to 0.3461). The line of the mean clearly shows an absolute systematic difference (0.1268 for DM versus Control; 0.1062 for DM versus DM + DCA; 0.0028 for Control versus DCA and − 0.0205 for Control versus DM + DCA) for the investigated mPTP protein components (n = 17) in the two conditions (paired t test p value = 0.0005 for DM vs. Control; p value = 0.0084 for DM vs. DM + DCA; p value = 0.9517 for Control vs. DCA and p value = 0.6569 for Control vs. DM + DCA). The zero value denoted by the black dashed line corresponds to the line of equivalence. ADT1—ADP/ATP translocase 1; ADT2—ADP/ATP translocase 2; AT5F1—ATP synthase F(0) complex subunit B1; ATP5H—ATP synthase subunit d; ATP5I—ATP synthase subunit e; ATP5L—ATP synthase subunit g; ATPA—ATP synthase subunit alpha; ATPB—ATP synthase subunit beta; ATPD—ATP synthase subunit delta; ATPG—ATP synthase subunit gamma; ATPK—ATP synthase subunit f; ATPO—ATP synthase subunit O; KCRS—creatine kinase S-type; MPCP—phosphate carrier protein; VDAC1—voltage-dependent anion-selective channel protein 1; VDAC2—voltage-dependent anion-selective channel protein 2; VDAC3—voltage-dependent anion-selective channel protein 3.