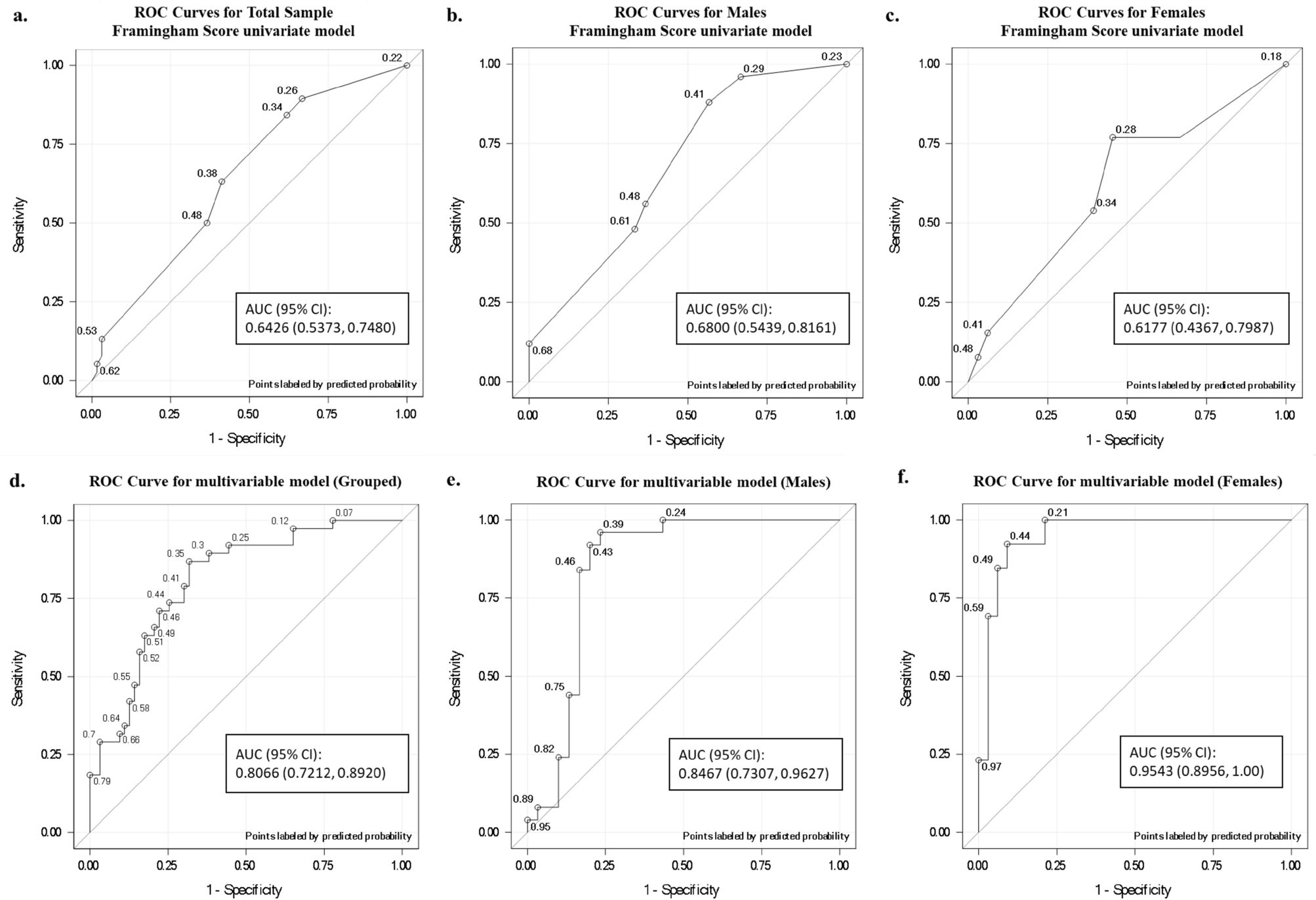
Figure 1

Comparison of ROC area under curve of Framingham scores (a–c) and our biomarker optimized models (d–f) to discriminate between presence and absence of subclinical atherosclerosis. Framingham scores predictive capability in the grouped analysis (a), in males (b) and females (c) showed better discriminative ability in males than females for subclinical atherosclerosis. The biomarker optimized models in the grouped analysis (d), in males (e) and females (f) consistently demonstrated improved predictive capability. CI, Confidence interval; AUC, area under curve.