Figure 7
From: Slope stability analysis considering the strength anisotropy of c-φ soil

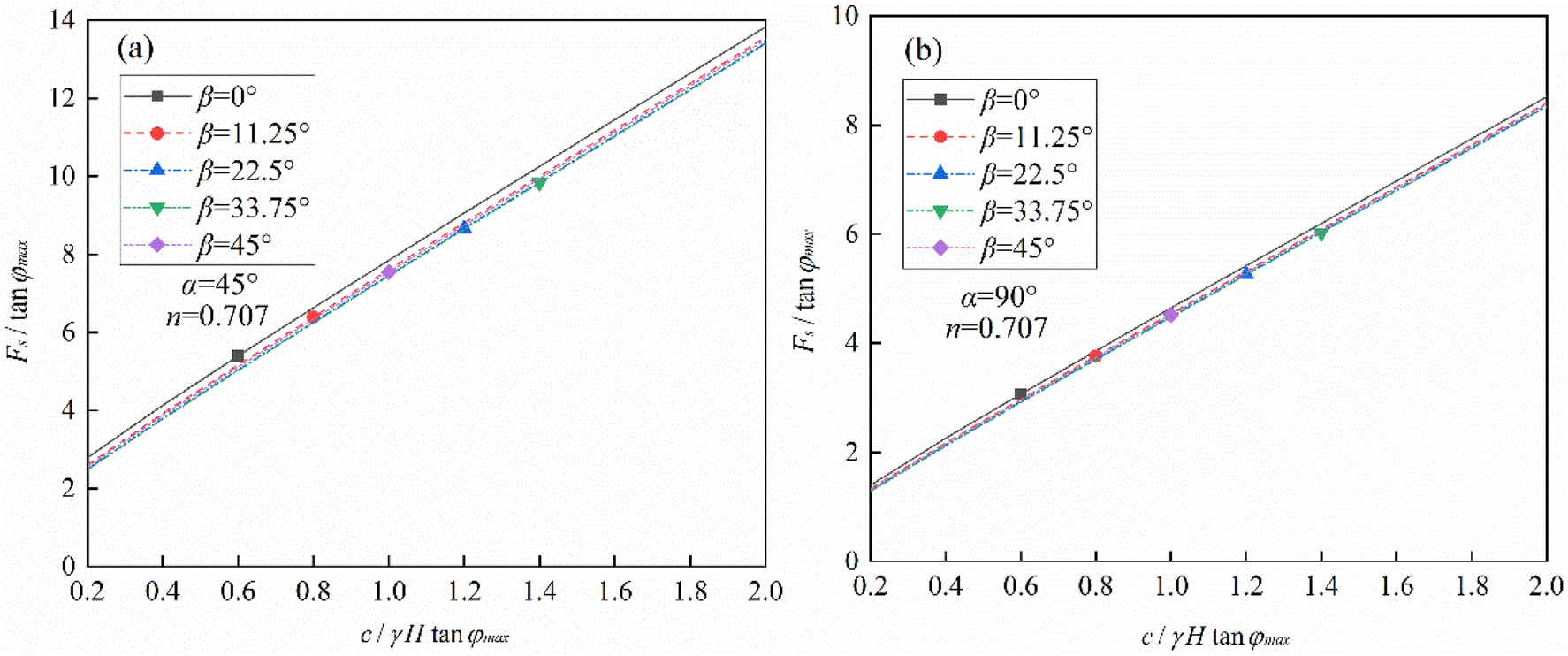
Stability chart for slopes considering strength anisotropy: (a) α = 45°, (b) α = 90°.
From: Slope stability analysis considering the strength anisotropy of c-φ soil

Stability chart for slopes considering strength anisotropy: (a) α = 45°, (b) α = 90°.