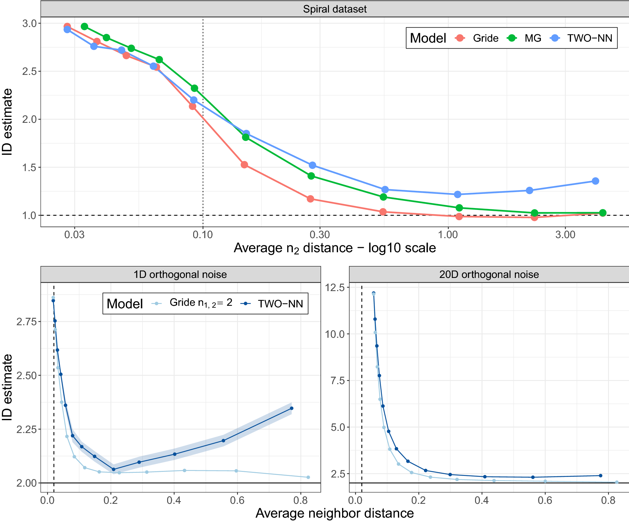
Figure 5

Top panel: study of the evolution of the \(\texttt {id }\) on a simulated Spiral dataset. The three lines represent three different models: Gride, MG, and the decimated TWO-NN. Bottom panels: analysis of the impact of the scale on the id estimates comparing Gride models of order ratios \(n_{2,1}=2\) vs. the TWO-NN estimator performed on a 2D noisy Gaussian dataset. The error bounds (\(\pm 2\) std. err.) are visible only for one model.