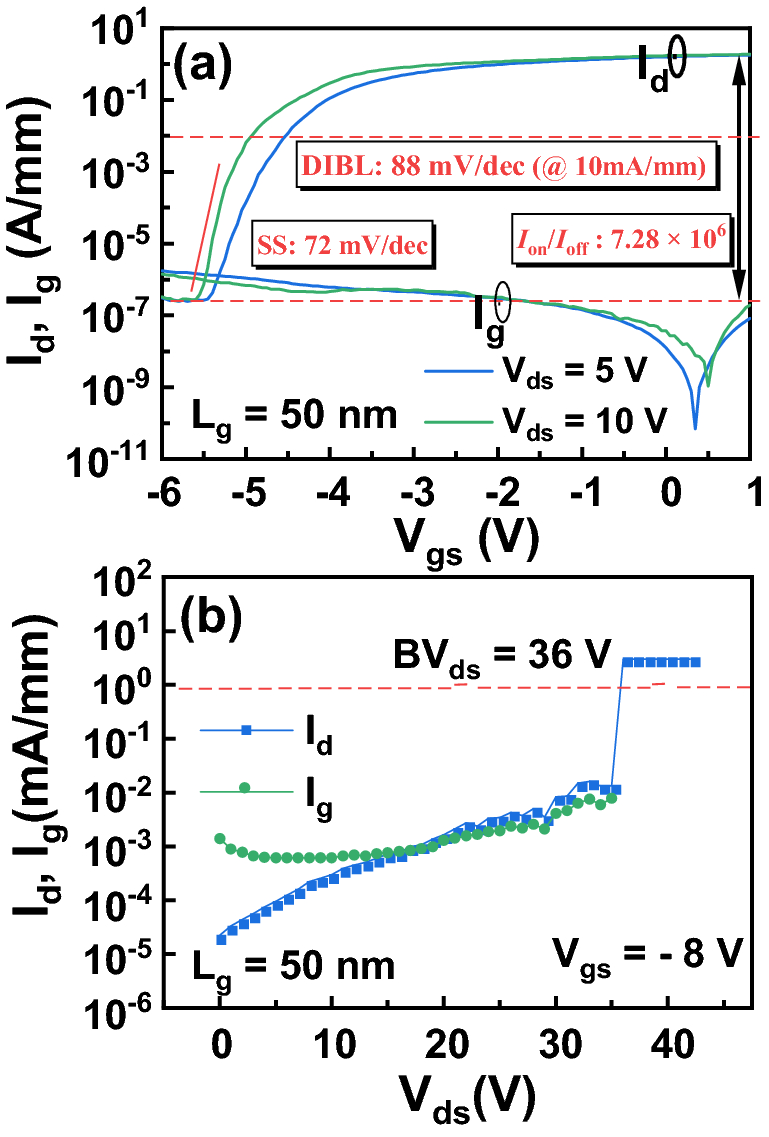
Figure 3
From: Scaling behavior of InAlN/GaN HEMTs on silicon for RF applications

(a) The transfer and gate current characteristics in semi-log scale at Vds = 10 V and 5 V, (b) the Id and Ig as a function of Vds at Vgs = − 8 V of the InAlN/GaN HEMT with a 50-nm gate length. A BVds of 36 V was determined.