Figure 5
From: A data driven approach in less expensive robust transmitting coverage and power optimization

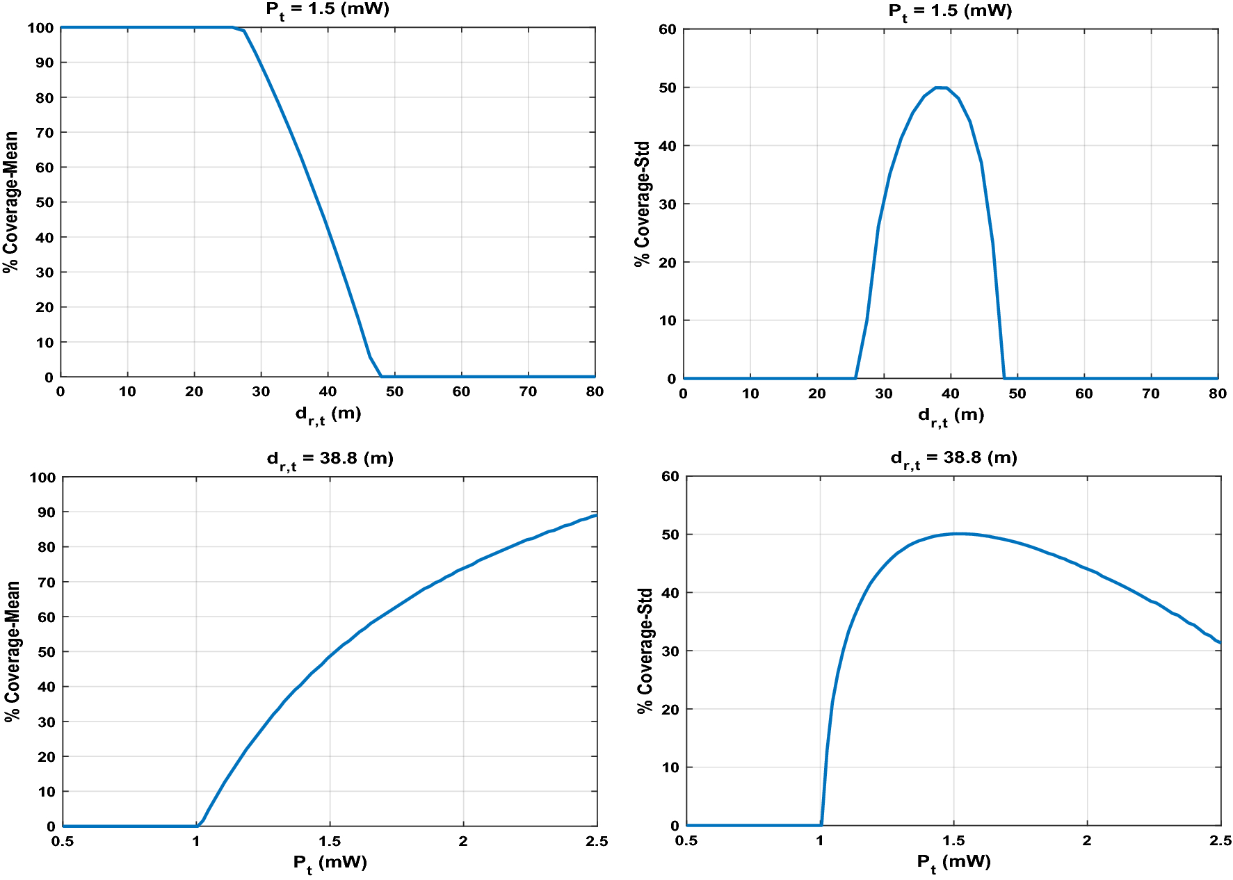
The mean and Std of coverage over each input parameter in an inner array of crossed design. In each figure, the second parameter fixed in certain value, \({P}_{t}=1.5 (\mathrm{mW})\) and \({d}_{r,t}=38.8 (\mathrm{m})\).