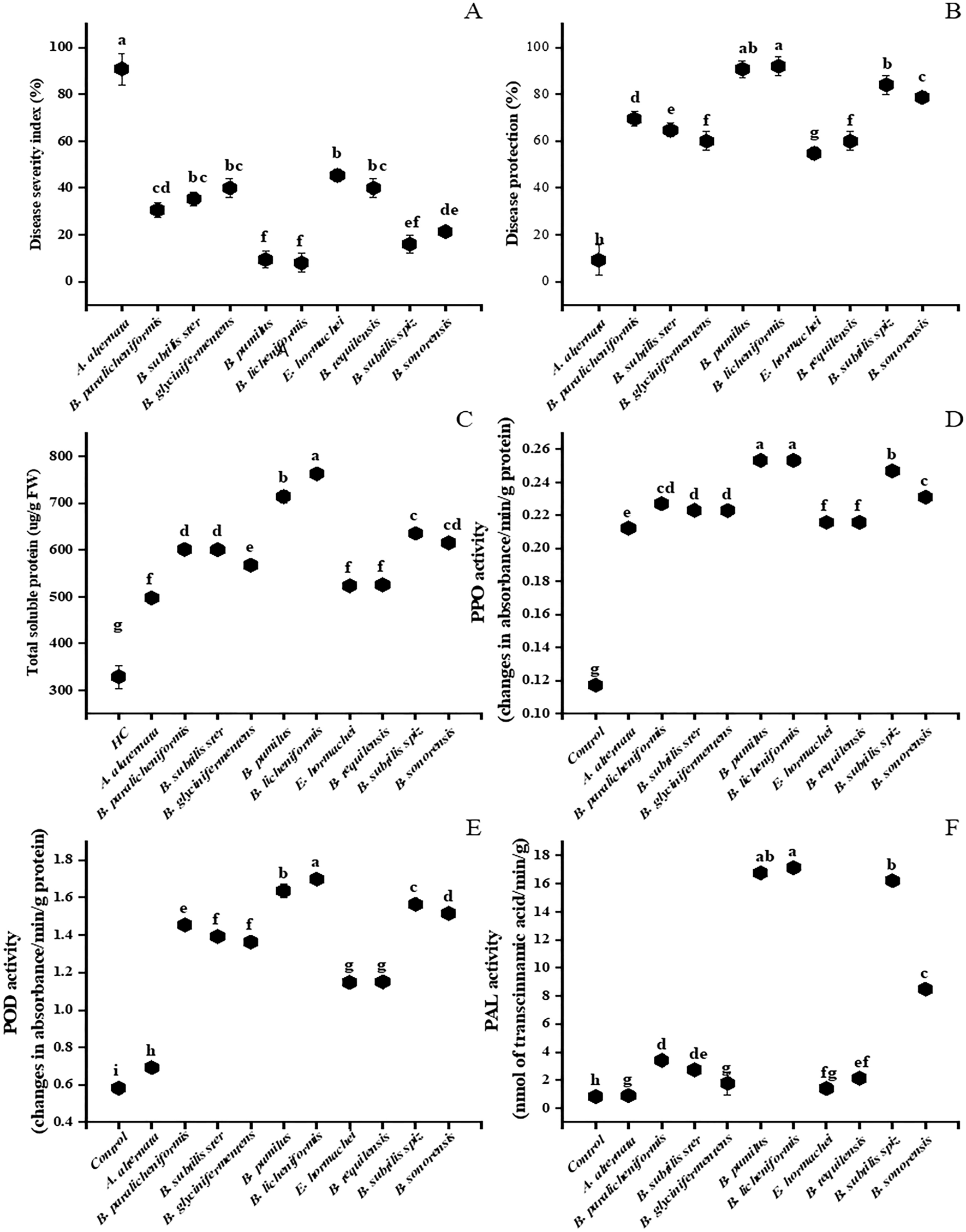
Figure 4

Rhizobacteria-mediated disease protection and induction of antioxidant enzymes in tomato infected with Alternaria alternata, (A) Disease severity index, (B) Disease protection, (C) Total soluble protein content (D) Polyphenol oxidase (PPO) activity, (E) Peroxidase (POD) activity, (F) Phenylalanine ammonia lyase (PAL) activity. All values are mean of three replicates. Values with different letters are significantly different from each other at p ≤ 0.05.