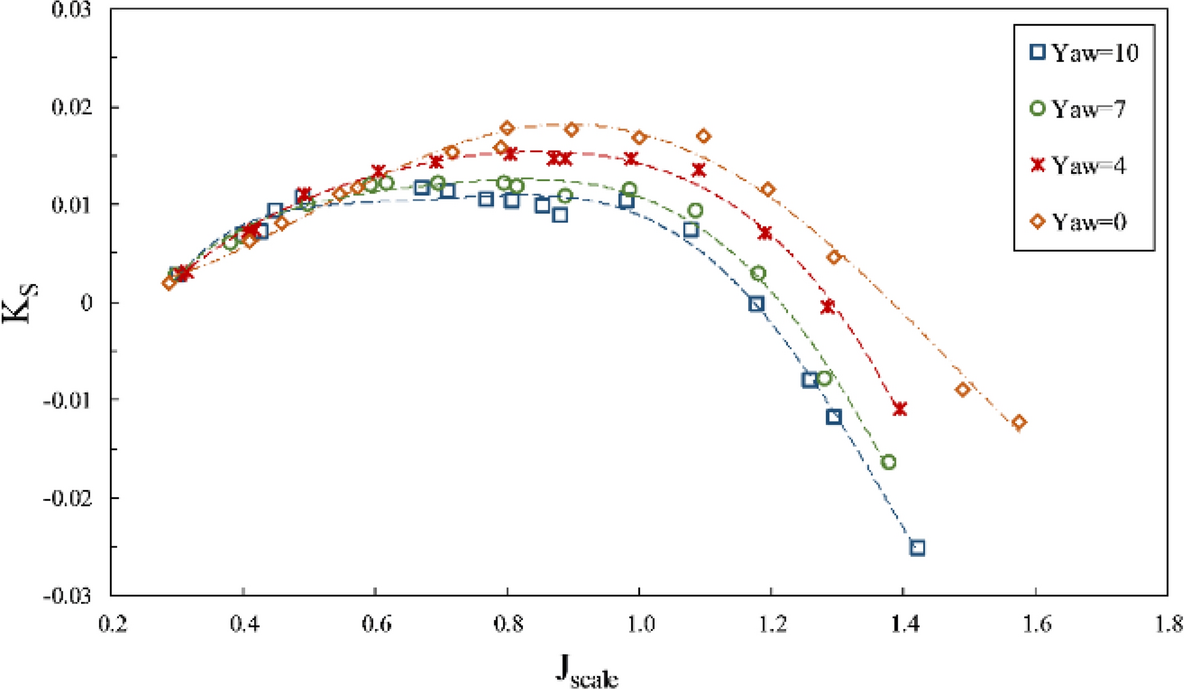
Figure 31 | Scientific Reports