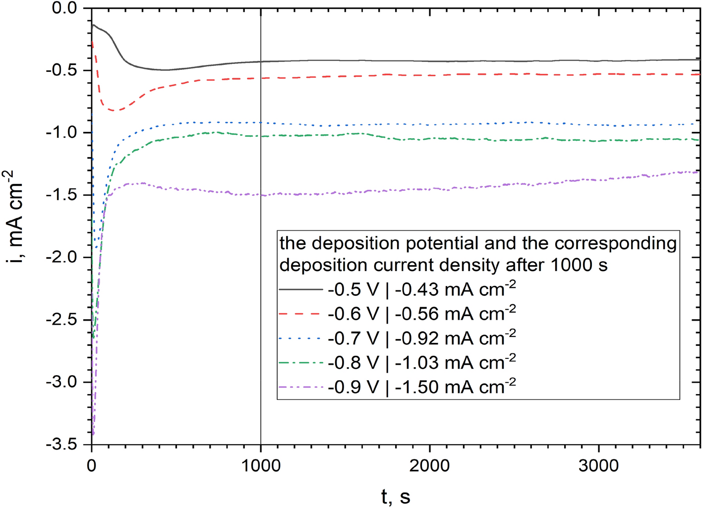
Figure 2

Current density vs. time dependences recorded on Cu base material during 1 h electrodeposition of Ni–Mo coatings at potentials of − 0.5 to − 0.9 V vs. Ag at 50 °C in the plating bath composed of DES + 0.2 mol dm−3 NiCl2 + 0.01 mol dm−3 (NH4)6Mo7O24.