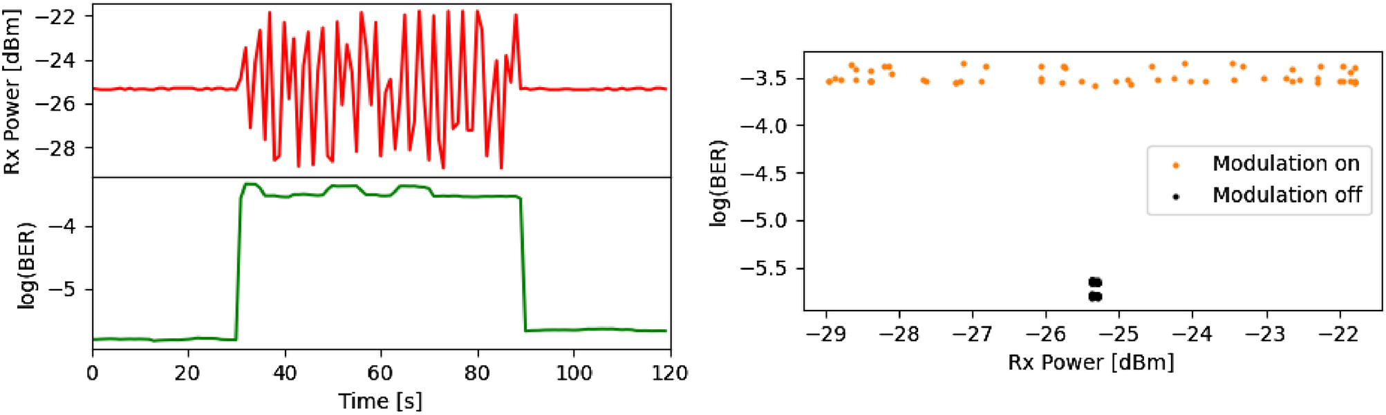
Figure 8
From: Demonstration of 100 Gbps coherent free-space optical communications at LEO tracking rates

Left: time series for power (red) and log(BER) (green) for rapid power modulation test of DCO module. Right: scatter plot of BER versus power for modulation on (orange) and off (black).