Figure 2

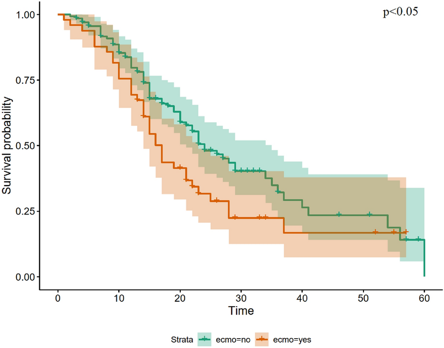
Kaplan–Meier Curves comparing ECMO therapy for COVID-19 ARDS. ARDS acute respiratory distress syndrome, ECMO extracorporeal membrane oxygenation. Time is indicated in days. Group comparison were performed using Log Rank test.

Kaplan–Meier Curves comparing ECMO therapy for COVID-19 ARDS. ARDS acute respiratory distress syndrome, ECMO extracorporeal membrane oxygenation. Time is indicated in days. Group comparison were performed using Log Rank test.