Figure 3
From: Unconventional short-range structural fluctuations in cuprate superconductors

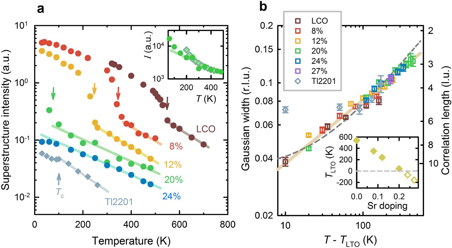
Universal behaviour and scaling of short-range orthorhombic correlations. (a) Temperature- and doping dependence of diffuse LTO superstructure intensity in La2CuO4 (LCO, x = 0), La2-xSrxCuO4 (LSCO, values of x indicated in figure) and Tl2Ba2CuO6+δ (Tl2201) obtained from X-ray scattering (see Methods for reciprocal space positions). Above the HTT-LTO transition at TLTO (arrows), the intensity decreases exponentially, at a nearly doping- and compound-independent rate of ~ 1/200 K-1. The x = 0.24 LSCO sample does not show long-range LTO order, yet short-range correlations are still observable at 480 K. The Tl2201 sample is slightly overdoped, also shows no long-range orthorhombicity, and exhibits a clear change of the diffuse intensity below Tc = 89 K. Intensities for LSCO are normalized to the nearest Bragg peaks at 30 K, and therefore directly comparable; the intensity for LCO is normalized to the LTO superstructure peak at 300 K. The Tl2201 data are shifted vertically by an arbitray constant for clarity. Inset: comparison between X-ray (circles, x = 0.2) and quasielastic neutron (diamonds, x = 0.155) diffuse intensity above TLTO reveals similar exponential behaviour. The neutron data are for the (1.5 1.5 2) LTO peak, normalized to coincide with X-ray data at high temperatures. (b) Gaussian width σ of the diffuse LTO superstructure peaks vs. T–TLTO. Master curve (solid line): (T–TLTO)1/3; dashed line: shifted square-root dependence, (T–TLTO’)1/2, as expected from rare-region theory, with TLTO’ = TLTO–25 K. The right axis shows the corresponding correlation length L = 0.41/σ (see Methods), in units of the in-plane tetragonal lattice constant. Inset: TLTO values used in the scaling, including the extrapolated effective negative values for the x = 0.24 and 0.27 samples (empty diamonds). Interestingly, the Tl2201 data above Tc approximately follow the universal curve if the effective TLTO is taken to be ~ Tc; the width remains roughly temperature-independent near and below Tc.