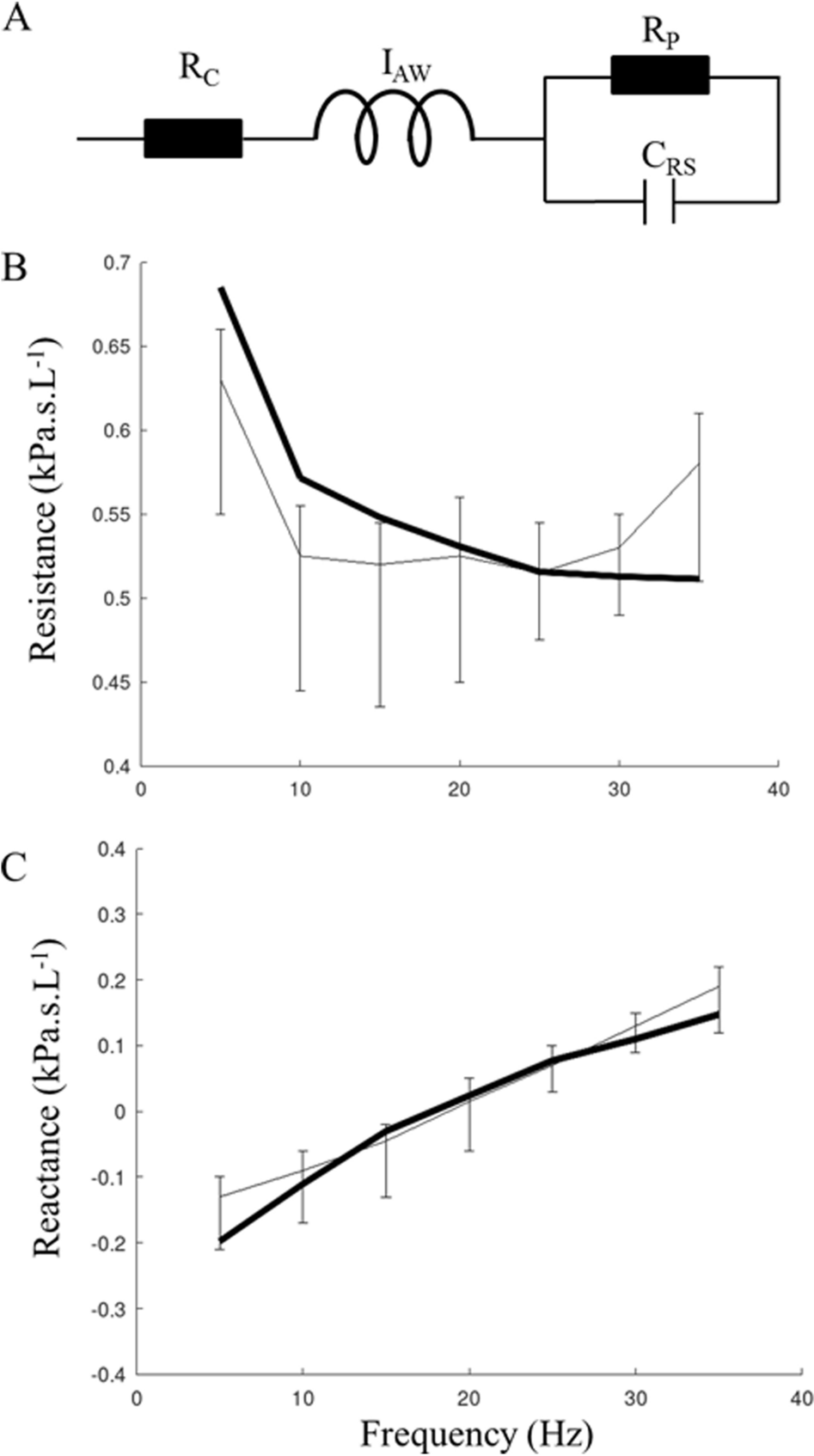
Figure 1

The eRIC model (A) and the impedance spectra obtained by fitting the model. Respiratory system resistance (B) and reactance (C) obtained by fitting the model (thick solid lines) to the data of the experimental measurements represented by the median values and the 25th and 75th percentiles for each frequency.