Figure 10

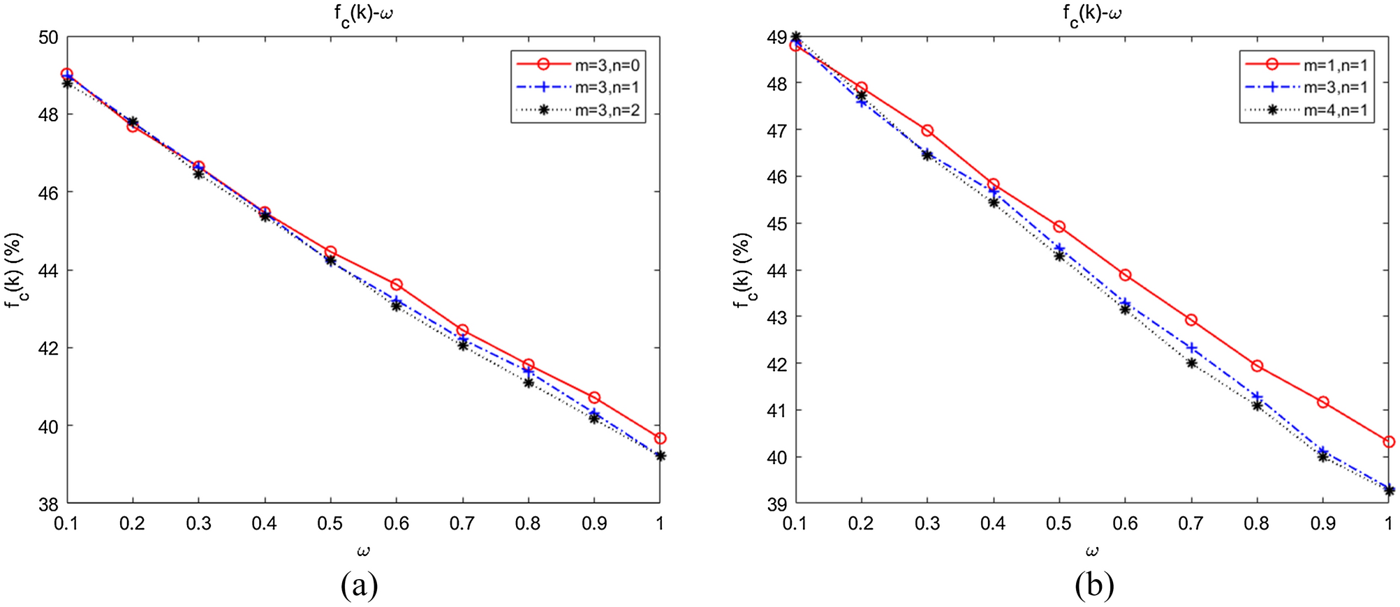
Dependence of the emergence of collaboration on the relative degrees of m and n. (a) The influence of fixed n, m on collaboration; (b) the influence of fixed m, n on collaboration.

Dependence of the emergence of collaboration on the relative degrees of m and n. (a) The influence of fixed n, m on collaboration; (b) the influence of fixed m, n on collaboration.