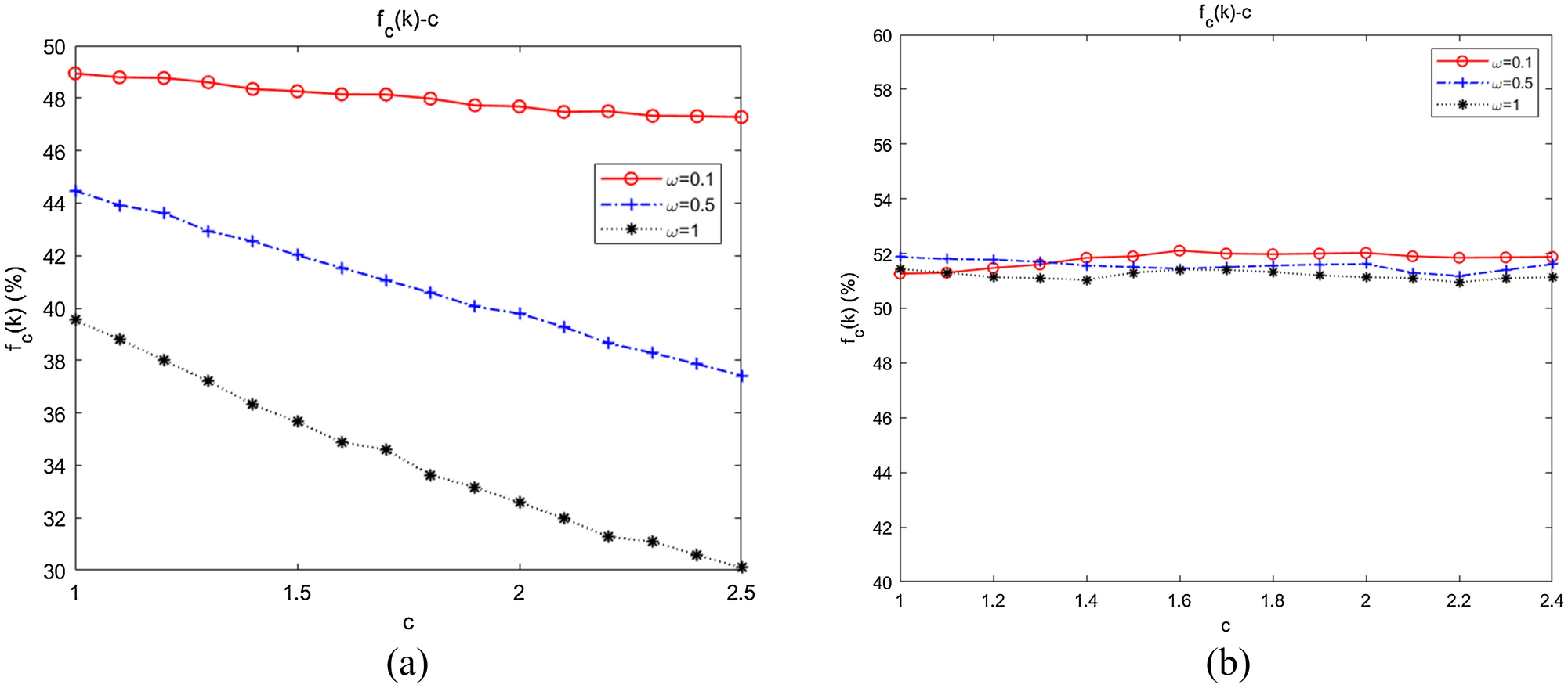
Figure 11

Relationship between average abundance and cost. (a) Defection strategy dominates; (b) collaboration strategy dominates.

Relationship between average abundance and cost. (a) Defection strategy dominates; (b) collaboration strategy dominates.