Figure 7

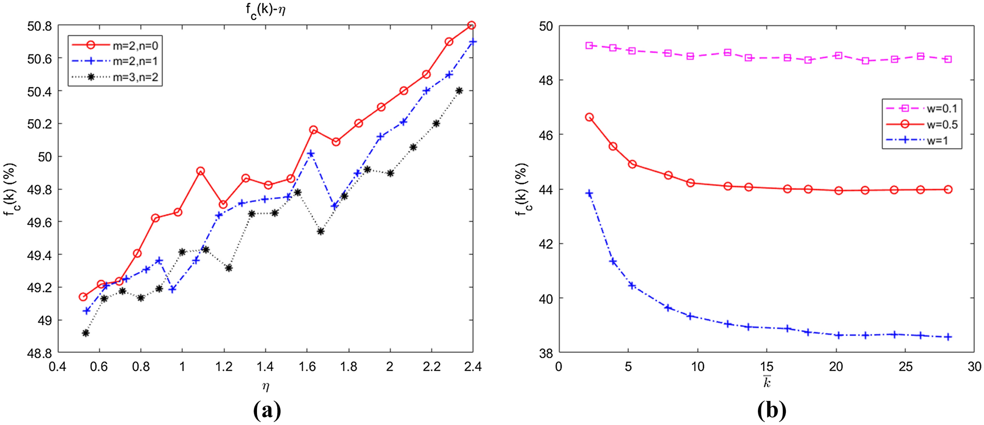
(a) Dependence of the emergence of collaboration on \(\eta\); (b) dependence of the emergence of collaboration on average degree.

(a) Dependence of the emergence of collaboration on \(\eta\); (b) dependence of the emergence of collaboration on average degree.