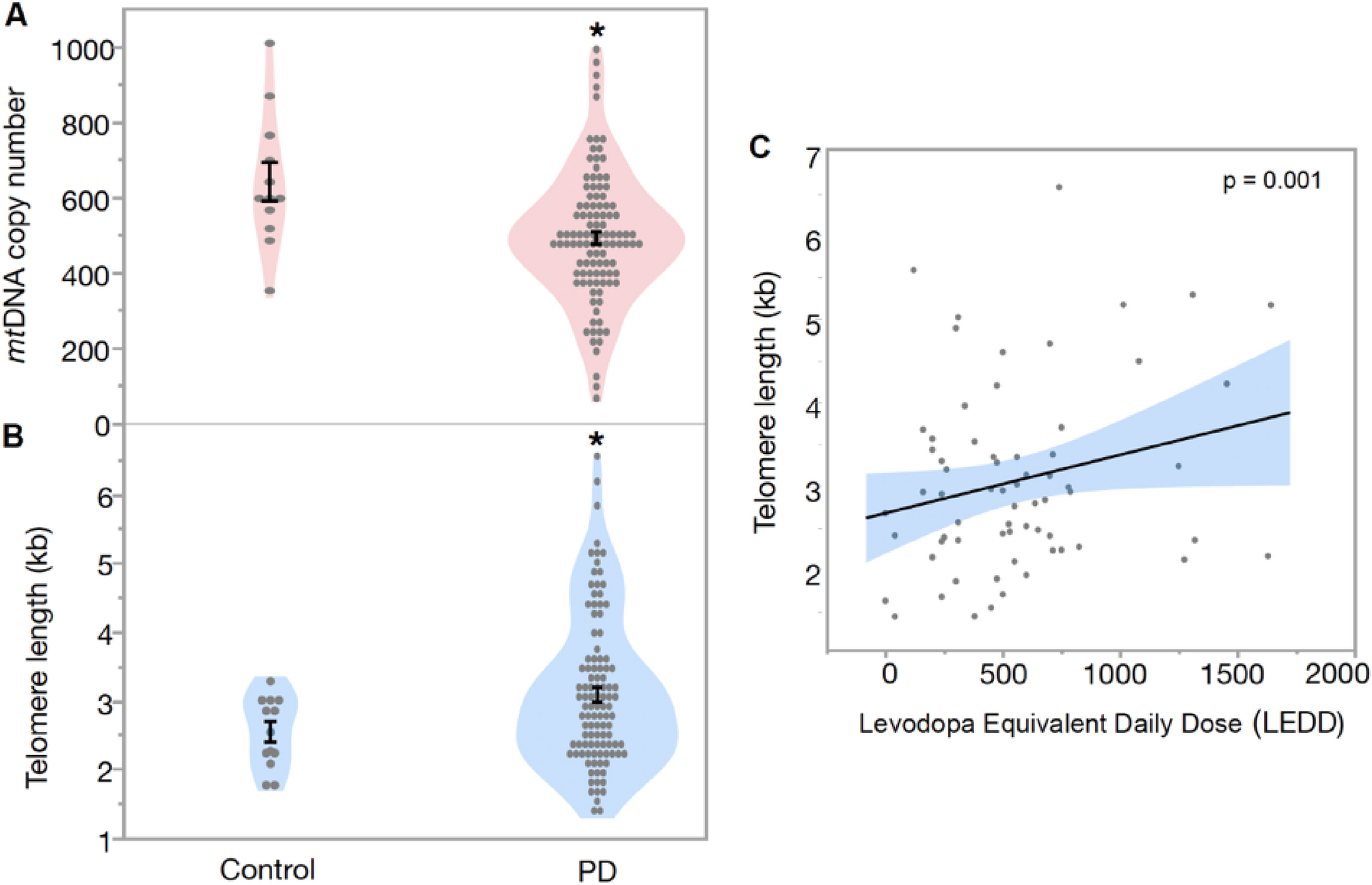
Figure 1

(A) Difference in mtDNA copy number and (B) telomere length between Parkinson’s Disease (PD) patients and controls in blood. Mean mtDNA copy number in PD patients was 505.99 ± 17.68, compared to controls 630.48 ± 52.88, while mean telomere length in PD patients was 3.21 ± 1.12 kb compared to the controls 2.54 ± 0.15 kb (C) Association between telomere length and Levodopa Equivalent Daily Dose (LEDD) in blood (multivariate regression). Data are presented as mean ± SE. *p < 0.05 versus control.