Figure 2
From: Optimal settings and advantages of drones as a tool for canopy arthropod collection

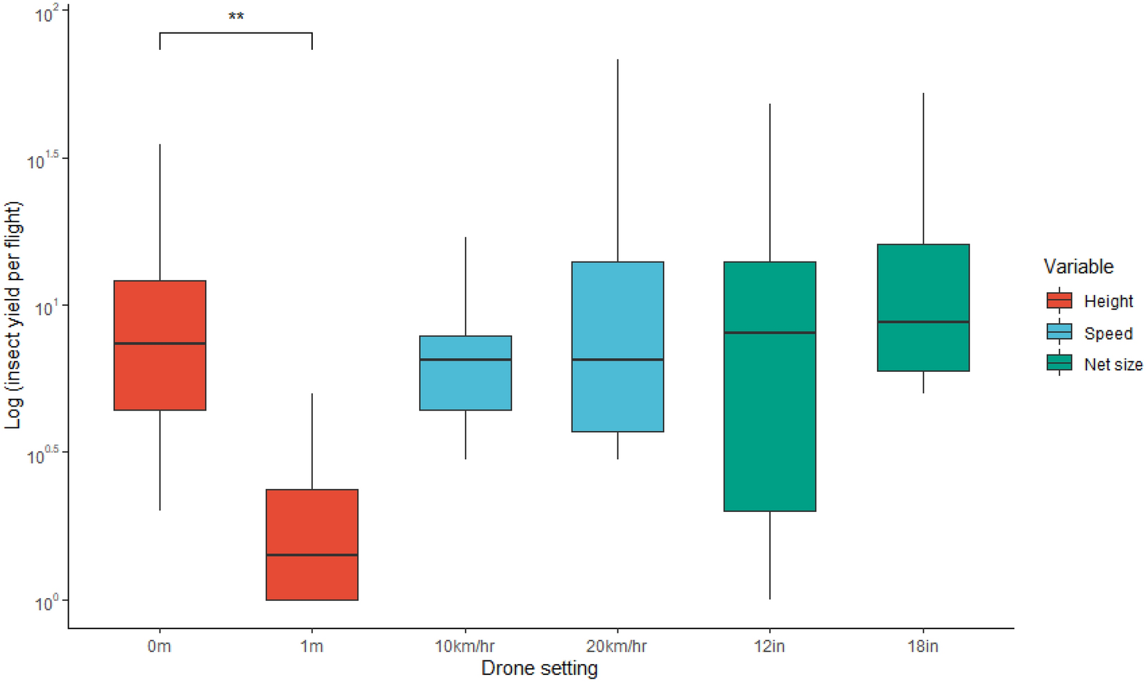
Boxplot of arthropod yields for different drone settings of height, speed, and net size (diameter). Boxes indicate median, first and third quartile, as well as minimum and maximum values. Significance stars are place based on paired t-tests of settings values, ** denotes p < 0.01 (only differences in height were significant with p = 0.0017).