Figure 2

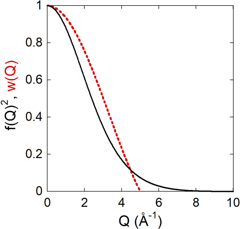
Squared magnetic form factor of Fe2+ as a function of Q (solid black line) and window function of Eq. (5) with Qmax = 5 Å−1 (broken red line).

Squared magnetic form factor of Fe2+ as a function of Q (solid black line) and window function of Eq. (5) with Qmax = 5 Å−1 (broken red line).