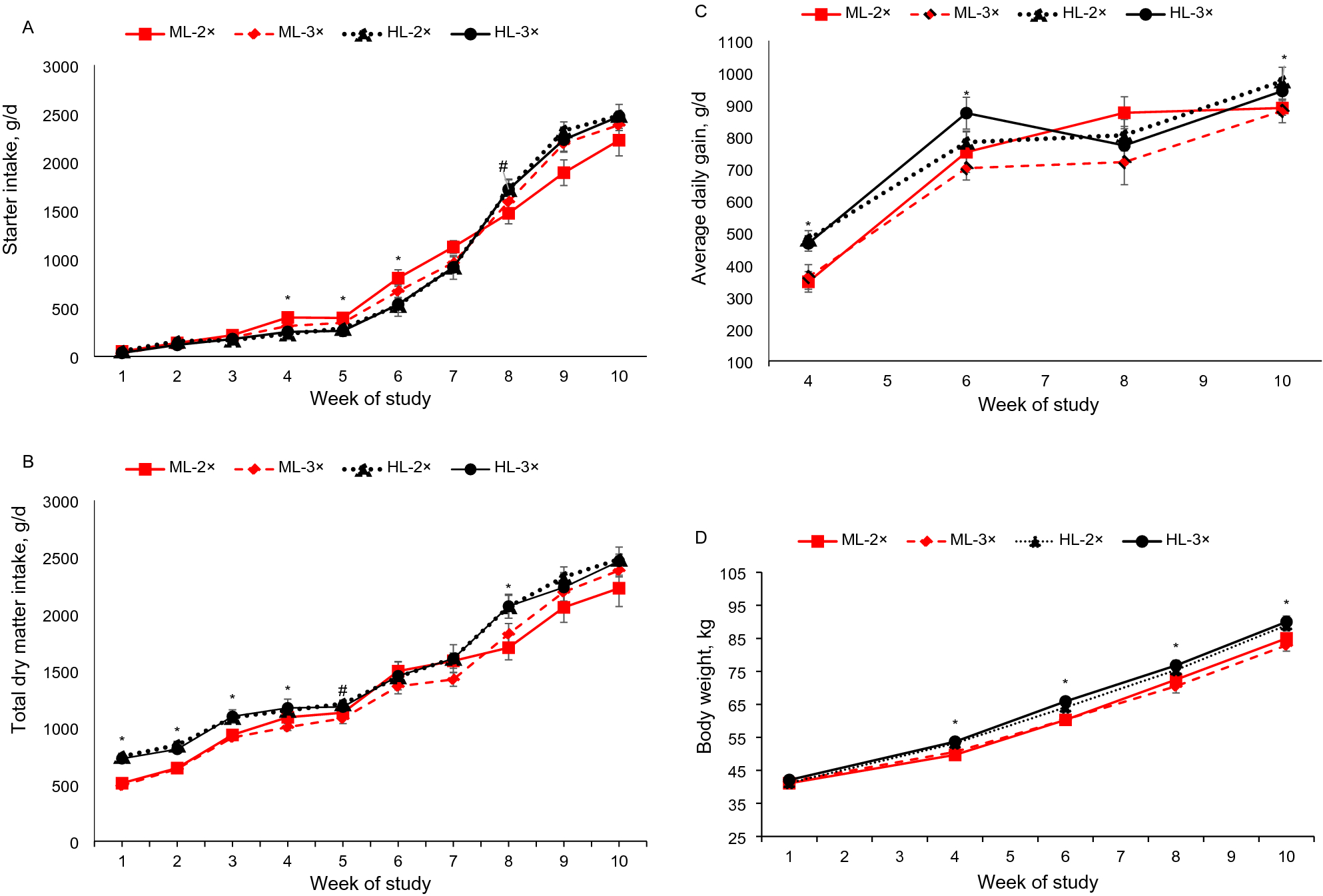
Figure 2

Starter feed intake (A), total dry matter intake (B), average daily gain (C), and body weight (D) of calves with one of the following treatments: calves fed medium milk level and 2 × frequency (medium-2 × ; red filled square), calves fed medium milk level and 3 × frequency (medium -3 × ; red filled rhombus), calves fed high milk level and 2 × frequency (High-2 × ; black filled triangle), and calves fed high milk level and 3 × frequency (High3 × ; black filled circle) during the different week of study. Error bars represent the SEM at each point. For each time point, *denotes significant differences (P < 0.05), # denotes trend differences (0.05 < P < 0.10) for level milk effects.