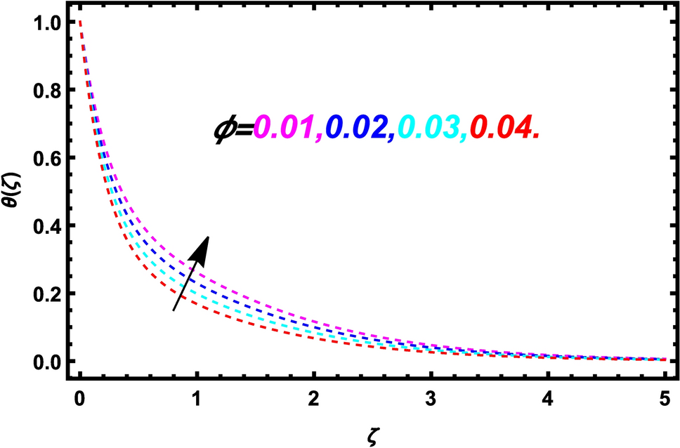
Figure 20

Demonstration of energy curve versus \(\phi\) when \(Fr\) = 0.2, \(k_{1}\) = 0.1, \(k_{2}\) = 0.3, \(M\) = 0.5, \(m\) = 0.2, \(\Pr\) = 5.3, \({\text{Ec}}\) = 0.3, \(\varepsilon_{t}\) = 3.0, \({\text{Rd}}\) = 0.2, \({\text{Sc}}\) = 0.1, \(\varepsilon_{C}\) = 3.0, \(\delta\) = 0.3, \({\text{Lb}}\) = 0.3, \({\text{Pe}}\) = 0.3.